Glutaminolysis
Glutaminolysis (glutamine + -lysis) is a series of biochemical reactions by which the amino acid glutamine is lysed to glutamate, aspartate, CO2, pyruvate, lactate, alanine and citrate.[1][2]
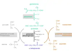
The glutaminolytic pathway
Glutaminolysis partially recruits reaction steps from the citric acid cycle and the malate-aspartate shuttle.
Reaction steps from glutamine to α-ketoglutarate
The conversion of the amino acid glutamine to α-ketoglutarate takes place in two reaction steps:

1. Hydrolysis of the amino group of glutamine yielding glutamate and ammonium. Catalyzing enzyme: glutaminase (EC 3.5.1.2)
2. Glutamate can be excreted or can be further metabolized to α-ketoglutarate.
For the conversion of glutamate to α-ketoglutarate three different reactions are possible:
Catalyzing enzymes:
- glutamate dehydrogenase (GlDH), EC 1.4.1.2
- glutamate pyruvate transaminase (GPT), also called alanine transaminase (ALT), EC 2.6.1.2
- glutamate oxaloacetate transaminase (GOT), also called aspartate transaminase (AST), EC 2.6.1.1 (component of the malate aspartate shuttle)
Recruited reaction steps of the citric acid cycle and malate aspartate shuttle

- α-ketoglutarate + NAD+ + CoASH → succinyl-CoA + NADH+H+ + CO2
catalyzing enzyme: α-ketoglutarate dehydrogenase complex
- succinyl-CoA + GDP + Pi → succinate + GTP
catalyzing enzyme: succinyl-CoA-synthetase, EC 6.2.1.4
- succinate + FAD → fumarate + FADH2
catalyzing enzyme: succinate dehydrogenase, EC 1.3.5.1
- fumarate + H2O → malate
catalyzing enzyme: fumarase, EC 4.2.1.2
- malate + NAD+ → oxaloacetate + NADH + H+
catalyzing enzyme: malate dehydrogenase, EC 1.1.1.37 (component of the malate aspartate shuttle)
- oxaloacetate + acetyl-CoA + H2O → citrate + CoASH
catalyzing enzyme: citrate synthase, EC 2.3.3.1
Reaction steps from malate to pyruvate and lactate
The conversion of malate to pyruvate and lactate is catalyzed by
- NAD(P) dependent malate decarboxylase (malic enzyme; EC 1.1.1.39 and 1.1.1.40) and
- lactate dehydrogenase (LDH; EC 1.1.1.27)
according to the following equations:
- malate + NAD(P)+→ pyruvate + NAD(P)H + H+ + CO2
- pyruvate + NADH + H+ → lactate + NAD+
Intracellular compartmentalization of the glutaminolytic pathway
The reactions of the glutaminolytic pathway take place partly in the mitochondria and to some extent in the cytosol (compare the metabolic scheme of the glutaminolytic pathway).
An important energy source in tumor cells
Glutaminolysis takes place in all proliferating cells,[3] such as lymphocytes, thymocytes, colonocytes, adipocytes and especially in tumor cells.[1] Glutaminolysis has been targeted for therapeutic purposes.[4] In tumor cells the citric acid cycle is truncated due to an inhibition of the enzyme aconitase (EC 4.2.1.3) by high concentrations of reactive oxygen species (ROS)[5][6] Aconitase catalyzes the conversion of citrate to isocitrate. On the other hand, tumor cells over express phosphate dependent glutaminase and NAD(P)-dependent malate decarboxylase,[7][8][9][10] which in combination with the remaining reaction steps of the citric acid cycle from α-ketoglutarate to citrate impart the possibility of a new energy producing pathway, the degradation of the amino acid glutamine to glutamate, aspartate, pyruvate CO2, lactate and citrate.
Besides glycolysis in tumor cells glutaminolysis is another main pillar for energy production. High extracellular glutamine concentrations stimulate tumor growth and are essential for cell transformation.[9][11] On the other hand, a reduction of glutamine correlates with phenotypical and functional differentiation of the cells.[12]
Energy efficacy of glutaminolysis in tumor cells
- one ATP by direct phosphorylation of GDP
- two ATP from oxidation of FADH2
- three ATP at a time for the NADH + H+ produced within the α-ketoglutarate dehydrogenase reaction, the malate dehydrogenase reaction and the malate decarboxylase reaction.
Due to low glutamate dehydrogenase and glutamate pyruvate transaminase activities, in tumor cells the conversion of glutamate to alpha-ketoglutarate mainly takes place via glutamate oxaloacetate transaminase.[13]
Advantages of glutaminolysis in tumor cells
- Glutamine is the most abundant amino acid in the plasma and an additional energy source in tumor cells especially when glycolytic energy production is low due to a high amount of the dimeric form of M2-PK.
- Glutamine and its degradation products glutamate and aspartate are precursors for nucleic acid and serine synthesis.
- Glutaminolysis is insensitive to high concentrations of reactive oxygen species (ROS).[14]
- Due to the truncation of the citric acid cycle the amount of acetyl-CoA infiltrated in the citric acid cycle is low and acetyl-CoA is available for de novo synthesis of fatty acids and cholesterol. The fatty acids can be used for phospholipid synthesis or can be released.[15]
- Fatty acids represent an effective storage vehicle for hydrogen. Therefore, the release of fatty acids is an effective way to get rid of cytosolic hydrogen produced within the glycolytic glyceraldehyde 3-phosphate dehydrogenase (GAPDH; EC 1.2.1.9) reaction.[16]
- Glutamate and fatty acids are immunosuppressive. The release of both metabolites may protect tumor cells from immune attacks.[17][18][19]
- It has been discussed that the glutamate pool may drive the endergonic uptake of other amino acids by system ASC.[8]
- Glutamine can be converted to citrate without NADH production, uncoupling NADH production from biosynthesis.[3]
See also
References
- ^ a b Krebs, HA; Bellamy D (1960). "The interconversion of glutamic acid and aspartic acid in respiring tissues". The Biochemical Journal. 75 (3): 523–529. doi:10.1042/bj0750523. PMC 1204504. PMID 14411856.
- ^ Jin, L; Alesi, GN; Kang, S (14 July 2016). "Glutaminolysis as a target for cancer therapy". Oncogene. 35 (28): 3619–25. doi:10.1038/onc.2015.447. PMC 5225500. PMID 26592449.
- ^ a b Fernandez-de-Cossio-Diaz, Jorge; Vazquez, Alexei (2017-10-18). "Limits of aerobic metabolism in cancer cells". Scientific Reports. 7 (1): 13488. Bibcode:2017NatSR...713488F. doi:10.1038/s41598-017-14071-y. ISSN 2045-2322. PMC 5647437. PMID 29044214.
- ^ Yang, W. H.; Qiu, Y.; Stamatatos, O.; Janowitz, T.; Lukey, M. J. (2021). "Enhancing the efficacy of glutamine metabolism inhibitors in cancer therapy". Trends in Cancer. 7 (8): 790–804. doi:10.1016/j.trecan.2021.04.003. PMC 9064286. PMID 34020912.
- ^ Gardner, PR; Raineri I; Epstein LB; White CW (1995). "Superoxide radical and iron modulate aconitase activity in mammalian cells". Journal of Biological Chemistry. 270 (22): 13399–13405. doi:10.1074/jbc.270.22.13399. PMID 7768942.
- ^ Kim, KH; Rodriguez AM; Carrico PM; Melendez JA (2001). "Potential mechanisms for the inhibition of tumor cell growth by manganese superoxide dismutase". Antioxidants & Redox Signaling. 3 (3): 361–373. doi:10.1089/15230860152409013. PMID 11491650.
- ^ Matsuno, T; Goto I (1992). "Glutaminase and glutamine synthetase activities in human cirrhotic liver and hepatocellular carcinoma". Cancer Research. 52 (5): 1192–1194. PMID 1346587.
- ^ a b Aledo JC, Segura JA, Medina MA, Alonso FJ, Núñez de Castro I, Márquez J (1994). "Phosphate-activated glutaminase expression during tumor development". FEBS Letters. 341 (1): 39–42. Bibcode:1994FEBSL.341...39A. doi:10.1016/0014-5793(94)80236-X. PMID 8137919. S2CID 12702894.
- ^ a b Lobo C, Ruiz-Bellido MA, Aledo JC, Márquez J, Núñez De Castro I, Alonso FJ (2000). "Inhibition of glutaminase expression by antisense mRNA decreases growth and tumourigenicity of tumour cells". Biochemical Journal. 348 (2): 257–261. doi:10.1042/0264-6021:3480257. PMC 1221061. PMID 10816417.
- ^ Mazurek, S; Grimm H; Oehmke M; Weisse G; Teigelkamp S; Eigenbrodt E (2000). "Tumor M2-PK and glutaminolytic enzymes in the metabolic shift of tumor cells". Anticancer Research. 20 (6D): 5151–5154. PMID 11326687.
- ^ Turowski, GA; Rashid Z; Hong F; Madri JA; Basson MD (1994). "Glutamine modulates phenotype and stimulates proliferation in human colon cancer cell lines". Cancer Research. 54 (22): 5974–5980. PMID 7954430.
- ^ Spittler, A; Oehler R; Goetzinger P; Holzer S; Reissner CM; Leutmezer J; Rath V; Wrba F; Fuegger R; Boltz-Nitulescu G; Roth E (1997). "Low glutamine concentrations induce phenotypical and functional differentiation of U937 myelomonocytic cells". The Journal of Nutrition. 127 (11): 2151–2157. doi:10.1093/jn/127.11.2151. PMID 9349841.
- ^ Matsuno, T (1991). "Pathway of glutamate oxidation and its regulation in HuH13 line of human hepatoma cells". Journal of Cellular Physiology. 148 (2): 290–294. doi:10.1002/jcp.1041480215. PMID 1679060. S2CID 30893440.
- ^ Stephen J. Ralph; Rafael Moreno-Sánchez; Jiri Neuzil; Sara Rodríguez-Enríquez (24 August 2011). "Inhibitors of Succinate: Quinone Reductase/Complex II Regulate Production of Mitochondrial Reactive Oxygen Species and Protect Normal Cells from Ischemic Damage but Induce Specific Cancer Cell Death". Pharmaceutical Research. 28 (2695): 2695–2730. doi:10.1007/s11095-011-0566-7. PMID 21863476. S2CID 21836546. Retrieved 1 November 2021.
Unlike aconitase, glutaminolysis is relatively insensitive to ROS levels.
- ^ Parlo, RA; Coleman PS (1984). "Enhanced rate of citrate export from cholesterol-rich hepatoma mitochondria. The truncated Krebs cycle and other metabolic ramifications of mitochondrial membrane cholesterol". The Journal of Biological Chemistry. 259 (16): 9997–10003. doi:10.1016/S0021-9258(18)90917-8. PMID 6469976.
- ^ Mazurek, S; Grimm H; Boschek CB; Vaupel P; Eigenbrodt E (2002). "Pyruvate kinase type M2: a crossroad in the tumor metabolome". The British Journal of Nutrition. 87: S23 – S29. doi:10.1079/BJN2001455. PMID 11895152.
- ^ Eck, HP; Drings P; Dröge W (1989). "Plasma glutamate levels, lymphocyte reactivity and death in patients with bronchial carcinoma". Journal of Cancer Research and Clinical Oncology. 115 (6): 571–574. doi:10.1007/BF00391360. PMC 12211580. PMID 2558118. S2CID 23057794.
- ^ Grimm, H; Tibell A; Norrlind B; Blecher C; Wilker S; Schwemmle K (1994). "Immunoregulation by parental lipids: impact of the n-3 to n-6 fatty acid ratio". Journal of Parenteral and Enteral Nutrition. 18 (5): 417–421. doi:10.1177/0148607194018005417. PMID 7815672.
- ^ Jiang, WG; Bryce RP; Hoorobin DF (1998). "Essential fatty acids: molecular and cellular basis of their anti-cancer action and clinical implications". Critical Reviews in Oncology/Hematology. 27 (3): 179–209. doi:10.1016/S1040-8428(98)00003-1. PMID 9649932.