Kernel regression

In statistics, kernel regression is a non-parametric technique to estimate the conditional expectation of a random variable. The objective is to find a non-linear relation between a pair of random variables X and Y.

In any nonparametric regression, the conditional expectation of a variable relative to a variable may be written:

where is an unknown function.

Nadaraya–Watson kernel regression

Nadaraya and Watson, both in 1964, proposed to estimate as a locally weighted average, using a kernel as a weighting function.[1][2][3] The Nadaraya–Watson estimator is:

where is a kernel with a bandwidth such that is of order at least 1, that is .

Derivation

Starting with the definition of conditional expectation,

we estimate the joint distributions f(x,y) and f(x) using kernel density estimation with a kernel K:

We get:

which is the Nadaraya–Watson estimator.

Priestley–Chao kernel estimator

where is the bandwidth (or smoothing parameter).

Gasser–Müller kernel estimator

where [4]

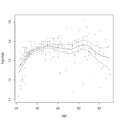
Example

Estimated regression function.

This example is based upon Canadian cross-section wage data consisting of a random sample taken from the 1971 Canadian Census Public Use Tapes for male individuals having common education (grade 13). There are 205 observations in total.

The figure to the right shows the estimated regression function using a second order Gaussian kernel along with asymptotic variability bounds.

Script for example

The following commands of the R programming language use the npreg() function to deliver optimal smoothing and to create the figure given above. These commands can be entered at the command prompt via cut and paste.

install.packages("np")
library(np) # non parametric library
data(cps71)
attach(cps71)

m <- npreg(logwage~age)

plot(m, plot.errors.method="asymptotic",
     plot.errors.style="band",
     ylim=c(11, 15.2))

points(age, logwage, cex=.25)
detach(cps71)

According to David Salsburg, the algorithms used in kernel regression were independently developed and used in fuzzy systems: "Coming up with almost exactly the same computer algorithm, fuzzy systems and kernel density-based regressions appear to have been developed completely independently of one another."[5]

Statistical implementation

See also

References

  1. ^ Nadaraya, E. A. (1964). "On Estimating Regression". Theory of Probability and Its Applications. 9 (1): 141–2. doi:10.1137/1109020.
  2. ^ Watson, G. S. (1964). "Smooth regression analysis". Sankhyā: The Indian Journal of Statistics, Series A. 26 (4): 359–372. JSTOR 25049340.
  3. ^ Bierens, Herman J. (1994). "The Nadaraya–Watson kernel regression function estimator". Topics in Advanced Econometrics. New York: Cambridge University Press. pp. 212–247. ISBN 0-521-41900-X.
  4. ^ Gasser, Theo; Müller, Hans-Georg (1979). "Kernel estimation of regression functions". Smoothing techniques for curve estimation (Proc. Workshop, Heidelberg, 1979). Lecture Notes in Math. Vol. 757. Springer, Berlin. pp. 23–68. ISBN 3-540-09706-6. MR 0564251.
  5. ^ Salsburg, D. (2002). The Lady Tasting Tea: How Statistics Revolutionized Science in the Twentieth Century. W.H. Freeman. pp. 290–91. ISBN 0-8050-7134-2.
  6. ^ Horová, I.; Koláček, J.; Zelinka, J. (2012). Kernel Smoothing in MATLAB: Theory and Practice of Kernel Smoothing. Singapore: World Scientific Publishing. ISBN 978-981-4405-48-5.
  7. ^ np: Nonparametric kernel smoothing methods for mixed data types
  8. ^ Kloke, John; McKean, Joseph W. (2014). Nonparametric Statistical Methods Using R. CRC Press. pp. 98–106. ISBN 978-1-4398-7343-4.

Further reading