Onnamide A
![]() | |
| Names | |
|---|---|
| Other names
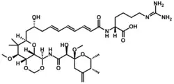
(2S)-5-[(Diaminomethylene)amino]-2-({(2E,4E,6E,11R)-11-hydroxy-12-[(4S,4aS,6R,8S,8aR)-4-({(2S)-2-hydroxy-2-[(2R,5R,6R)-2-methoxy-5,6-dimethyl-4-methylenetetrahydro-2H-pyran-2-yl]acetyl}amino)-8-methox y-7,7-dimethylhexahydropyrano[3,2-d][1,3]dioxin-6-yl]-2,4,6-dodecatrienoyl}amino)pentanoic acid
| |
| Identifiers | |
3D model (JSmol)
|
|
| ChemSpider | |
PubChem CID
|
|
| |
| |
| Properties | |
| C39H63N5O12 | |
| Molar mass | 793.956 g·mol−1 |
Except where otherwise noted, data are given for materials in their standard state (at 25 °C [77 °F], 100 kPa).
Infobox references
| |
Onnamide A is a bioactive natural product found in Theonella swinhoei, a species of marine sponge whose genus is well known for yielding a diverse set of biologically active natural products, including the swinholides[1] and polytheonamides.[2] It bears structural similarities to the pederins, a family of compounds known to inhibit protein synthesis in eukaryotic cells. Onnamide A and its analogues have attracted academic interest due to their cytotoxicity and potential for combating the growth and proliferation of cancer cells.[3]
History
Onnamide A was first isolated in 1988 from Theonella spp., a genus of marine sponges residing off the coast of Okinawa, Japan,[4] as part of a bioassay aimed at discovering novel marine natural products possessing antiviral activity. Eight analogues possessing similar structure, as well as cytotoxicity were reported in 1992.
Structure
Onnamide A is a complex biomolecule with a 39 unique carbon atoms and 11 degrees of unsaturation. Its core contains three rings, two of which comprise a dimeric lactone structure. It contains a long side chain that has a three conjugated trans- olefins that connects to an amide bond, terminating in an arginine residue. The stereochemical assignments of onnamide A have been extensively characterized by experimental and advanced NMR studies.[4][5]
Biosynthesis
Genomic studies suggest strong homology with Ped genes, which encode the production of pederins, structurally similar compounds synthesized by bacterial endosymbionts of Paederus beetles. This suggests that onnamide A is actually the product of bacterial endosymbionts of the marine sponges from which the compound was first isolated. Thus, the biosynthetic pathway of onnamide A is envisioned to undertake analogous steps as those that lead to pederin, utilizing a prokaryotic PKS-NRPS system.[6]
Cytotoxicity
Onnamide A inhibits protein synthesis in cell lines, leading to induction of stress-activated protein kinases apoptosis in the affected cell.[3] Its derivatives have been found to be highly toxic towards leukemic cells of the P388 cell line.[7]
See also
References
- ^ Isao Kitagawa; Motomasa Kobayashi; Taketo Katori; Megumi Yamashita; Junichi Tanaka; Mitsunobu Doi; Toshimasa Ishida (1990). "Absolute stereostructure of swinholide A; a potent cytotoxic macrolide from the Okinawan marine sponge Theonella swinhoei". J. Am. Chem. Soc. 112 (9): 3710–3712. doi:10.1021/ja00165a094.
- ^ Micheal C. Wilson; Tetsushi Mori; Christian Rückert; Agustinus R. Uria; Maximilian J. Helf; Kentaro Takada, Christine Gernert; Ursula A. E. Steffens; Nina Heycke; Susanne Schmitt; Christian Rinke; Eric J. N. Helfrich; Alexander O. Brachmann; Cristian Gurgui; Toshiyuki Wakimoto; Matthias Kracht; Max Crüsemann; Ute Hentschel; Ikuro Abe; Shigeki Matsunaga; Jörn Kalinowski; Haruko Takeyama; Jörn Pielic (2014). "An environmental bacterial taxon with a large and distinct metabolic repertoire". Nature. 506 (14): 58–62. Bibcode:2014Natur.506...58W. doi:10.1038/nature12959. PMID 24476823.
- ^ a b Kun-Hyung Lee; Shinichi Nishimura; Shigeki Matsunaga; Nobuhiro Fusetani; Sueharu Horinouchi; Minoru Yoshida (2005). "Inhibition of protein synthesis and activation of stress-activated protein kinases by onnamide A and theopederin B, antitumor marine natural products". Cancer Sci. 96 (6): 357–364. doi:10.1111/j.1349-7006.2005.00055.x. PMC 11158271. PMID 15958059.
- ^ a b Shinichi Sakemi; Toshio Ichiba; Shigeo Kohmoto; Gabriel Saucy; Tatsuo Higa (1988). "Isolation and structure elucidation of onnamide A, a new bioactive metabolite of a marine sponge, Theonella sp". J. Am. Chem. Soc. 110 (14): 4851–4853. doi:10.1111/j.1349-7006.2005.00055.x. PMC 11158271. PMID 15958059. S2CID 30688113.
- ^ Yoshinari Miyata; Shigeki Matsunaga (2008). "Structure elucidation of 21,22-dihydroxyonnamides A1–A4 from the marine sponge Theonella swinhoei: an empirical rule to assign the relative stereochemistry of linear 1,5-diols". Tetrahedron Lett. 49 (44): 6334–6336. doi:10.1016/j.tetlet.2008.08.057.
- ^ Jörn Piel; Dequan Hui; Gaiping Wen; Daniel Butzke; Matthias Platzer; Nobuhiro Fusetani; Shigeki Matsunaga (2004). "Antitumor polyketide biosynthesis by an uncultivated bacterial symbiont of the marine sponge Theonella swinhoei". Proc. Natl. Acad. Sci. 101 (46): 16222–16227. Bibcode:2004PNAS..10116222P. doi:10.1073/pnas.0405976101. PMC 528957. PMID 15520376.
- ^ Shigeki Matsunaga; Nobuhiro Fusetani; Youichi Nakao (1992). "Eight New Cytotoxic Metabolites Closely Related to Onnamide A from Two Marine Sponges of the Genus Theonella". Tetrahedron. 48 (39): 8369–8376. doi:10.1016/S0040-4020(01)86585-6.
