Pinner triazine synthesis

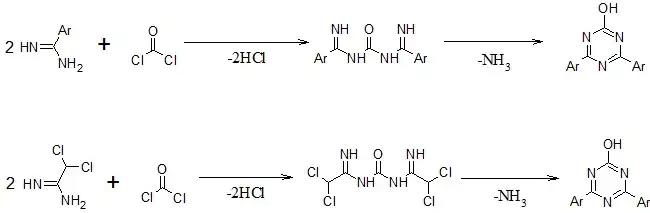
The Pinner triazine synthesis describes the preparation of 2-hydroxyl-4,6-diaryl-s-triazines by reaction of aryl amidines and phosgene. This reaction may be extended to halogenated aliphatic amidines.[1][2][3]

The Pinner Triazine Synthesis reaction pathway

This reaction was first reported by Adolf Pinner in 1890[4]

References

  1. ^ H. Schröder, C. Grundmann, J. Am. Chem. Soc. 78, 2447 (1956)
  2. ^ E. M. Smolin, L. Rapoport, The Chemistry of Heterocyclic Compounds, A. Weissberger, Ed., s-Triazines and Derivatives (Interscience, NY, 1959) p186
  3. ^ Merck Index 14th Ed.
  4. ^ A. Pinner, Chemische Berichte., 23, 2919 (1890)