Sunil Kumar Verma
Sunil Kumar Verma | |
|---|---|
![]() Verma in November 2014 | |
| Born | 28 September 1974 |
| Died | 31 May 2021 (aged 46) |
| Nationality | Indian |
| Education | D.Phil. in medical oncology |
| Alma mater | University of Oxford |
| Known for | Universal primer technology for wildlife identification |
| Awards |
|
| Scientific career | |
| Fields | |
| Institutions | |
| Doctoral advisor | |
Sunil Kumar Verma (28 September 1974 - 31 May 2021), was an Indian biologist and a principal scientist at the Centre for Cellular and Molecular Biology, Hyderabad, India. Verma was primarily known for his contributions to the development of "universal primer technology", a first generation DNA barcoding method, that can identify any bird, fish, reptile or mammal from a small biological sample, and satisfy legal evidence requirements in a court of law. This technology has revitalised the field of wildlife forensics and is now routinely used across India to provide a species identification service in cases of wildlife crime. This approach of species identification is now known as "DNA barcoding" across the world.
Verma received his D.Phil. in medical oncology from the University of Oxford, and had worked in the areas of signal transduction in cancer and on molecular biology applications in wildlife conservation. He was the recipient of several national awards, including the 2008 CSIR Technology Award, the 2009 NRDC Meritorious Invention Award and the 2009 BioAsia Innovation Award in recognition of his contribution to Indian science and technology. He died on May 31, 2021, due to COVID-19 pneumonia.
Education and research career
Early life and education
Verma was born in a small village in the northern Indian state of Uttar Pradesh. Verma grew up primarily in Tikri and up to the twelfth standard studied at the government school in Tikri.[2] After completing his twelfth standard in the science group from this school in 1991, he attended the G. B. Pant University of Agriculture and Technology, Pantnagar to complete his Bachelor of Science in agriculture and animal husbandry.[2]
Research career

Verma started his research career at G. B. Pant University of Agriculture and Technology, Pantnagar, where he worked on the DNA fingerprinting of Indian scented basmati rice for identification of duplicate accessions.[3] In 1998, Verma was appointed as a scientist at the Centre for DNA Fingerprinting and Diagnostics (CDFD) where he continued his research on the DNA-based identification system, and in 1999, he received the Emerging Forensic Scientist Continental Award from the International Association of Forensic Sciences at the University of California, USA for his work on DNA microsatellite based identification of wild animals.[4][5]
In 2000, Verma was appointed as a scientist at the Centre for Cellular and Molecular Biology, where in 2001, he and Lalji Singh invented universal primer technology for wildlife identification, for which he later received a number of international patents,[6][7][8] and several national awards including the CSIR Technology Award in 2008 (jointly conferred to Verma and Lalji Singh),[9] the 2009 NRDC Award (jointly conferred on Verma and Singh)[10] and the BioAsia Innovation Award in 2009.[11]
In 2003, Verma received a Lindau Fellowship to represent Indian scholars at the Lindau Nobel Laureate Meetings in physiology and medicine.[12] During the same year, he also received a Commonwealth Scholarship to carry out his doctoral studies at the University of Oxford.[13] Verma completed his D.Phil. in medical oncology at the University of Oxford in 2007,[14] and in January 2008 returned to India to continue his work at the CCMB. In 2010, he subsequently became principal scientist at the CCMB and as of January 2015, he remains in that position.[15]
Verma was a visiting fellow at the Max Planck Institute for Infection Biology during 2010–2013.[4] Starting in 2010, as of January 2015 he is a research ambassador for the DAAD to promote bidirectional research collaboration between India and Germany.[4]
Along with his team, Verma's research in the area of wildlife conservation[15] led to the reclassification of the pygmy hog, an endangered endemic species, from Sus salvanius to Porcula salvania[16][17]
2015 Nobel Prize Controversy

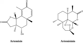
In 2015 Verma claimed that the malaria treatment drug artemisinin (initially extracted from Artemisia annua, later synthesized), the discovery of which earned Chinese scientist Tu Youyou the Lasker Award in 2011 and the Nobel Prize in Physiology or Medicine in 2015, has roots in older traditional medicine from India under the name artemisin, associated with a related Indian plant species (Hindi: Ajwain) and previously identified as fever-treating.[18] Verma argued that in order to fairly implement the provisions of Article 10 of Nagoya Protocol on equitable sharing of benefits derived from the utilization of genetic resources and traditional knowledge associated with the genetic resources (such as a plant-based medicine that arises based on the traditional knowledge on the usage of the specific plant or closely related plant species), no single person or country must be allowed to take credit for a genetic resource, or associated traditional knowledge if that previously existed in many countries, merely due to absence of proper documentation, or the inability of a specific country to claim rights on its traditional knowledge due to various reasons such as absence of legal framework.[19]
Universal primer technology

In March 2001, Verma and Lalji Singh claimed to have invented a method that they called "universal primer technology", which allowed the identification of any unknown biological sample and its assignment to a known species source.[7][8][20]
Through its ability to work across a large range of animal species, universal primer technology can identify any bird, fish, reptile or mammal and satisfy legal evidence requirements in a court of law.[21][22] Patents relating to this invention have been filed in several countries and the research papers published in various journals.[23][24][25] This technique of CSIR-CCMB revitalised the field of wildlife forensics.[26][27][28] It is currently being used routinely in LaCONES at the CSIR-CCMB to provide a wildlife forensics service across India in cases pertaining to wildlife crime.[21][29][30]
Verma's and Singh's contribution to the development of universal primer technology has been recognised by the Indian minister of Science and Technology and the Ministry of Earth Sciences in a written report to the Lok Sabha.[21]
Universal primer technology was also used by Therion International, an independent animal testing lab in New York, to uncover the noted seafood scandal in Florida and other parts of America.[31][32] Several undercover investigations carried out by the ABC7 Whistleblower[32][33] and WKRG News5 investigators,[34][35] revealed that almost half of the seafood was inaccurately labelled as a more expensive variety. This method of species identification used by the Therion International to uncover the seafood scam, was cited as "gold standard" by various labs worldwide.[36][37]
Universal primer technology and DNA barcoding
In February 2015, a credit dispute between universal primer technology and DNA barcoding came to light.[38][39][40] Verma has argued that DNA barcoding, a technique independently described by zoologist Paul D N Hebert in 2003,[41] is essentially the same as universal primer technology (UPT) and that both utilize standardized, short stretch of DNA from mitochondrial genome, amplified using the specific universal primers, to assign the identity of an unknown biological sample to a particular species.[6][24][38] Verma claimed that UPT was described earlier than DNA barcoding in his patents,[6][8] and publication;[24] therefore, it should be fairly credited. However, Hebert argued that he was not aware of UPT because its patents were not visible to the broader scientific community due to a substantial interval from its filing in 2001 to grant in 2006.[38][39][40]
Literature
Verma has written several collections of Hindi poetry on social issues such as the 2012 Delhi gang rape.[42] In 2014, his work was showcased in Hyderabad by the Association of British Scholars.[43]
Awards and honors
Some notable fellowships and awards conferred to Verma are as follows:
- IEmerging Forensic Scientist Continental Award (1999) from the International Association of Forensics Sciences[4]
- Lindau Fellowship (2003) to represent Indian scholars at the Lindau Nobel Laureate Meetings in Physiology and Medicine in 2003[12]
- Commonwealth Scholarship (2003)[13]
- CSIR Technology Award for Life Sciences" (2008), Jointly conferred to Sunil Kumar Verma and Lalji Singh[9]
- NRDC Societal Invention Award (2009), Jointly conferred to Sunil Kumar Verma and Lalji Singh[10]
- The BioAsia Innovation Award (2009) [11]
- Fellowship of Max Planck Institute for Infection Biology Berlin (2010–2013)[4]
- Research ambassador of DAAD (2010-till death)[4]
Selected publications
- Verma, Sunil Kumar; Goswami, Gajendra (2014). "DNA evidence: Current perspective and future challenges in India". Forensic Science International. 241: 183–189. doi:10.1016/j.forsciint.2014.05.016. PMID 24967868.
- Verma, Sunil Kumar; Ganesan, Trivadi S.; Parker, Peter J. (2008). "The tumour suppressor RASSF1A is a novel substrate of PKC" (PDF). FEBS Letters. 582 (15): 2270–2276. doi:10.1016/j.febslet.2008.05.028. PMID 18514071. S2CID 26290925.
- Funk, Stephan M.; Verma, Sunil Kumar; Larson, Greger; Prasad, Kasturi; Singh, Lalji; Narayan, Gouam; Fa, John E. (2007). "The pygmy hog is a unique genus: 19th century taxonomists got it right first time round". Molecular Phylogenetics and Evolution. 45 (2): 427–436. doi:10.1016/j.ympev.2007.08.007. PMID 17905601.
- Verma, Sunil Kumar; Prasad, Kasturi; Nagesh, Narayan; Sultana, Mehar; Singh, Lalji (2003). "Was elusive carnivore a panther? DNA typing of faeces reveals the mystery". Forensic Science International. 137 (1): 16–20. doi:10.1016/S0379-0738(03)00277-9. PMID 14550608.
- Verma, Sunil Kumar; Singh, Lalji (2003). "Novel universal primers establish identity of enormous number of animal species for forensic application". Molecular Ecology Notes. 3: 28–31. doi:10.1046/j.1471-8286.2003.00340.x.
- Verma, Sunil Kumar; Khanna, Vijay; Singh, Nagendra (1999). "Random amplified polymorphic DNA analysis of Indian scented basmati rice (Oryza sativa L.) germplasm for identification of variability and duplicate accessions, if any". Electrophoresis. 20 (8): 1786–1789. doi:10.1002/(sici)1522-2683(19990101)20:8<1786::aid-elps1786>3.0.co;2-5. PMID 10435450. S2CID 21965899.
References
- ^ a b "Official Curriculum vitae of Sunil Kumar Verma". sunil.verma.org.in/. Archived from the original on 24 February 2015. Retrieved 24 February 2015.
- ^ a b "Verma, S.K., Biography & journey through Science". www.vermask.indianscholars.org. Indianscholars Press. Archived from the original on 26 December 2014. Retrieved 30 January 2015.
- ^ Verma, Sunil Kumar; Khanna, Vijay; Singh, Nagendra (1999). "Random amplified polymorphic DNA analysis of Indian scented basmati rice (Oryza sativa L.) germplasm for identification of variability and duplicate accessions, if any". Electrophoresis. 20 (8): 1786–1789. doi:10.1002/(sici)1522-2683(19990101)20:8<1786::aid-elps1786>3.0.co;2-5. PMID 10435450. S2CID 21965899.
- ^ a b c d e f "Brief Profiles of DAAD Research Ambassadors in India". www.daaddelhi.org. DAAD, New Delhi. Archived from the original on 21 December 2014. Retrieved 25 December 2014.
- ^ Thakur, Mukesh. "ROLE OF DNA FORENSICS IN CURBING ILLEGAL WILDLIFE TRADE" (PDF). WWF-India. p. 14. Archived (PDF) from the original on 30 January 2015. Retrieved 30 January 2015.
- ^ a b c Verma, Sunil Kumar; Singh, Lalji. "US Patent No 7141364: Verma and Singh 2001". www.patft.uspto.gov/netahtml/PTO/index.html. United States Patent and Trademark Office. Archived from the original on 2 April 2016. Retrieved 29 December 2014.
- ^ a b Singh, Lalji; Verma, Sunil Kumar. "Australia Patent AU2001258719 – Verma & Singh". www.ipaustralia.com.au. Intellectual Property in Australia. Retrieved 29 December 2014.
- ^ a b c Verma, Sunil Kumar; Singh, Lalji. "Universal primers for wildlife identification: WO 2002077278 A1". www.google.com. Google Patents. Archived from the original on 31 January 2015. Retrieved 29 December 2014.
- ^ a b "CSIR Technology Awards – 2008". www.dst.gov.in. Department of Science and Technology, Government of India. 26 September 2008. Archived from the original on 21 December 2014. Retrieved 18 November 2014.
- ^ a b "NRDC Awards 2009". www.nrdcindia.com. National Research Development Corporation. Archived from the original on 21 December 2014. Retrieved 31 December 2014.
- ^ a b "BioAsia Innovation Awards 2009". www.bioasia.in. BioAsia. Archived from the original on 21 December 2014. Retrieved 31 December 2014.
- ^ a b "Brief biography of Dr. Sunil Kumar Verma" (PDF). Consulting Ahead: The Journal of Consultancy Development Centre. CDC, An autonomous Institution of DSIR, Ministry of Science & Technology, Government of India: 26. ISSN 0973-8312. Archived (PDF) from the original on 4 March 2016. Retrieved 7 January 2016.
- ^ a b Directory of Commonwealth Scholars and Fellows: 1959–2009 (PDF). The Association of Commonwealth Universities, London. April 2009. p. 375. ISBN 978-0-85143-195-6. Archived (PDF) from the original on 27 December 2014. Retrieved 27 December 2014.
- ^ 49th Annual Report to the Secretary of State for International Development (PDF). Commonwealth Scholarship Commission in the United Kingdom. p. 41. Archived from the original (PDF) on 25 December 2014. Retrieved 25 December 2014.
- ^ a b "Academic Profile of Sunil Kumar Verma". www.ccmb.res.in. Centre for Cellular and Molecular Biology. Archived from the original on 25 December 2014. Retrieved 25 December 2014.
- ^ Funk; Stephan M.; Sunil Kumar Verma; Greger Larson; Kasturi Prasad; Lalji Singh; Goutam Narayan; John E. Fa (2007). "The pygmy hog is a unique genus: 19th century taxonomists got it right first time round". Molecular Phylogenetics and Evolution. 45 (2): 427–436. doi:10.1016/j.ympev.2007.08.007. PMID 17905601.
- ^ "Durrell discover unique DNA". www.durrell.org. Durrell Wildlife Conservation Trust. 10 September 2007. Archived from the original on 2 April 2015. Retrieved 3 March 2015.
- ^ "Scholar claims Chinese Nobel Prize winner's malaria drug has Indian roots". International Business Times. 15 October 2015. Retrieved 21 September 2018.
- ^ "Official Letter of Verma written to CBD, as available on the website of CBD" (PDF). www.cbd.int. Retrieved 2 December 2019.
- ^ "Indian Inventors Discover Wildlife Identification Universal Primer". The Associated Newspapers of Ceylon. 7 December 2006. Archived from the original on 29 March 2015. Retrieved 18 November 2014.
- ^ a b c "CSIR-Centre for Cellular & Molecular Biology (CSIR-CCMB) had developed DNA barcoding technology". www.pib.nic.in. Press Information Bureau, Ministry of Science & Technology, Government of India. 6 August 2014. Archived from the original on 25 December 2014. Retrieved 18 November 2014.
- ^ Singh, Lalit T. (10 February 2002). "It's only a leopard: lab finding". The Hindu. Archived from the original on 3 March 2018. Retrieved 29 December 2014.
- ^ "CCMB develops DNA test to identify animal species". www.thehindubusinessline.com. The Hindu: Business Line. 30 April 2003. Archived from the original on 21 November 2003. Retrieved 18 November 2014.
- ^ a b c Verma, Sunil Kumar; Singh, Lalji (2003). "Novel universal primers establish identity of enormous number of animal species for forensic application". Molecular Ecology Notes. 3: 28–31. doi:10.1046/j.1471-8286.2003.00340.x.
- ^ Verma, Sunil Kumar; Prasad, Kasturi; Nagesh, Narayan; Sultana, Mehar; Singh, Lalji (2003). "Was elusive carnivore a panther? DNA typing of faeces reveals the mystery". Forensic Science International. 137 (1): 16–20. doi:10.1016/S0379-0738(03)00277-9. PMID 14550608.
- ^ WTI (14 May 2003). "DNA tests: A breakthrough for wildlife forensics". www.wti.org.in. Wildlife Trust of India. Archived from the original on 25 December 2014. Retrieved 18 November 2014.
- ^ Theodore, Stanley (12 June 2003). "Was it a leopard or panther slinking by?: New DNA tool helps scientists identify wildlife species". www.csmonitor.com. The Christian Science Monitor. Archived from the original on 25 December 2014. Retrieved 18 November 2014.
- ^ Padma, T.V. (5 June 2003). "Indian genetic test helps combat wildlife crimes". www.scidev.net. SciDevNet. Archived from the original on 25 December 2014. Retrieved 18 November 2014.
- ^ TNN (30 April 2003). "CCMB develops wildlife forensic test". www.timesofindia.indiatimes.com. The Times of India. Archived from the original on 4 January 2017. Retrieved 18 November 2014.
- ^ TNN (1 May 2003). "Checking wildlife crimes with DNA tests". www.timesofindia.indiatimes.com. The Times of India. Archived from the original on 3 March 2018. Retrieved 18 November 2014.
- ^ Casna, Nancy J. (8 November 2006). "DNA sequencing test for species identification, Project # 20220". Therion International, New York. Archived from the original on 3 March 2016. Retrieved 27 December 2014.
- ^ a b "Whistleblower: Is it grouper – or something else?". www.nbc-2.com. NBC2 News. 17 October 2007. Archived from the original on 4 March 2016. Retrieved 27 December 2014.
- ^ Nohlgren, Stephen (6 December 2006). "How to prove it's grouper?". www.sptimes.com. Tampa Bay Times. Archived from the original on 28 December 2014. Retrieved 27 December 2014.
- ^ "DNA sequencing test for species identification, Project # 20097" (PDF). www.media.mgbg.com. Therion International, New York. 9 May 2005. Archived from the original (PDF) on 4 March 2016. Retrieved 27 December 2014.
- ^ "Grouper DNA Testing". www.wkrg.com. WKRG News5. 27 February 2007. Archived from the original on 27 December 2014. Retrieved 27 December 2014.
- ^ Stockman, Dan (22 November 2007). "Lab says species ID method 'tried and true'". www.fortwayne.com. Fortwayne. Archived from the original on 28 December 2014. Retrieved 28 December 2014.
- ^ Hedlund, Steven (18 October 2011). "Q&A: LeeAnn Applewhite, Applied Food Technologies". www.seafoodsource.com. SeaFoodSource. Archived from the original on 28 December 2014. Retrieved 28 December 2014.
- ^ a b c Jayaraman, KS (10 February 2015). "DNA-based animal identification technique in credit dispute". Nature India. doi:10.1038/nindia.2015.20.
- ^ a b IANS (11 February 2015). "Indian scientists peeved over credit grab". www.timesofindia.indiatimes.com. The Times of India. Archived from the original on 14 February 2015. Retrieved 3 March 2015.
- ^ a b IANS (11 February 2015). "Indian scientists peeved over credit grab". www.thestatesman.com. The Statesman. Archived from the original on 2 April 2015. Retrieved 3 March 2015.
- ^ Hebert, Paul DN; Cywinska, Alina; Ball, Shelley L; deWaard, Jeremy R (2003). "Biological identifications through DNA barcodes". Proc Biol Sci. 270 (1512): 313–321. doi:10.1098/rspb.2002.2218. PMC 1691236. PMID 12614582.
- ^ Sharma, Charu (6 September 2014). "This is not art, this is pain". www.timesofindia.indiatimes.com. The Times of India. Retrieved 30 December 2014.
- ^ "Wo Desh Ki Beti (वो देश की बेटी…!): showcasing the poetry of Dr. SK Verma at LaMakaan Hyderabad". www.abshyderabad.org. Association of British Scholars. 5 September 2014. Archived from the original on 21 December 2014. Retrieved 18 November 2014.
