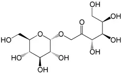
Trehalulose
![]() | |
| Names | |
|---|---|
| IUPAC name
1-O-α-D-Glucopyranosyl-D-fructose
| |
| Identifiers | |
3D model (JSmol)
|
|
| ChEBI | |
| ChemSpider | |
| ECHA InfoCard | 100.051.967 |
| EC Number |
|
| KEGG | |
PubChem CID
|
|
| UNII | |
CompTox Dashboard (EPA)
|
|
| |
| |
| Properties | |
| C12H22O11 | |
| Molar mass | 342.297 g·mol−1 |
Except where otherwise noted, data are given for materials in their standard state (at 25 °C [77 °F], 100 kPa).
Infobox references
| |
Trehalulose is a disaccharide made up of a molecule of fructose bound to a molecule of glucose. Like isomaltulose, it is a structural isomer of sucrose that is present in small quantities in honey.[1] It makes up 50% of sugars in the honeydew of silverleaf whiteflies[2][3] and is synthesised from sucrose by some bacteria,[4][5] such as Protaminombacter rubrum.[6][1] Because the anomeric carbon of the fructose moiety is not involved in the glycosidic bond, it is a reducing sugar.[6]
Physiology
Because the fructose and glucose molecules are linked by a 1,1 glycosidic bond, which is more stable than the 1,2 glycosidic bond in sucrose, it is broken down more slowly than sucrose in the small intestine, giving it a lower glycemic index.[6] This more stable bond also means that it cannot be utilised by Streptococcus mutans, and it is therefore non-cariogenic.[7]
Properties
Unlike isomaltulose, trehalulose strongly resists crystallisation, and forms an amorphous solid when dried. Its sweetness relative to sucrose has been estimated as between 0.4[8] and 0.7.[9]
It has a specific rotation of °.[1]
Honey from stingless bees
In 2020 researchers at the University of Queensland found that some species of stingless bee in Australia, Malaysia, and Brazil produce honey containing between 13% and 44% trehalulose rather than the usual glucose and fructose. The university's findings supported the long-standing claims of Indigenous Australian people that native honey is beneficial for human health.[10][11] In 2021 the same researchers discovered that the bees convert all sucrose from nectar into trehalulose.[12]
References
- ^ a b c Wolfgang Gerhartz, ed. (1994). Ullmann's encyclopedia of industrial chemistry / Vol. A. Alphabetically arranged articles. 25, Starch and other polysaccharides to surfactants (5., completely rev ed.). Weinheim: VCH Verl.-Ges. pp. 426–427. ISBN 3-527-20125-4. OCLC 311987978.
- ^ Salvucci, Michael E.; Wolfe, Gregory R.; Hendrix, Donald L. (1997-05-01). "Effect of sucrose concentration on carbohydrate metabolism in Bemisia argentifolii: Biochemical mechanism and physiological role for trehalulose synthesis in the silverleaf whitefly". Journal of Insect Physiology. 43 (5): 457–464. doi:10.1016/S0022-1910(96)00124-2. ISSN 0022-1910.
- ^ Dictionary of carbohydrates with CD-ROM. Collins, P. M. (2nd ed.). Boca Raton. 29 November 2005. p. 538. ISBN 0-8493-7765-X. OCLC 70262506.
{{cite book}}: CS1 maint: location missing publisher (link) CS1 maint: others (link) - ^ Hamerli, Dénes; Birch, Robert G. (2011). "Transgenic expression of trehalulose synthase results in high concentrations of the sucrose isomer trehalulose in mature stems of field-grown sugarcane". Plant Biotechnology Journal. 9 (1): 32–37. doi:10.1111/j.1467-7652.2010.00528.x. ISSN 1467-7652. PMID 20492546.
- ^ Tsuyuki, Ken'ichiro; Sugitani, Toshiaki; Miyata, Yukie; Ebashi, Tadishi; Nakajima, Yoshikazu (1992). "Isolation and characterization of isomaltulose- and trehalulose-producing bacteria from Thailand soil". The Journal of General and Applied Microbiology. 38 (5): 483–490. doi:10.2323/jgam.38.483. ISSN 1349-8037.
- ^ a b c Rosenplenter, Kurt; Lipinski, Prof Dr Gert-Wolfhard von Rymon; Nöhle, Prof Dr Ulrich (2007-01-01). Handbuch Süßungsmittel (in German). Behr's Verlag DE. p. 258. ISBN 978-3-89947-947-8.
- ^ Ooshima, T.; Izumitani, A.; Minami, T.; Fujiwara, T.; Nakajima, Y.; Hamada, S. (1991). "Trehalulose Does Not Induce Dental Caries in Rats Infected with Mutans Streptococci". Caries Research. 25 (4): 277–282. doi:10.1159/000261376. ISSN 0008-6568. PMID 1913765.
- ^ EP 0794259, Nishimoto, Tomoyuki; Chaen, Hiroto & Fukuda, Shigeharu et al., "Process for producing a saccharide composition containing trehalulose", published 1997-09-10, assigned to Hayashibara Seibutsu Kagaku Kenkyujo KK
- ^ Ravaud, Stéphanie; Watzlawick, Hildegard; Haser, Richard; Mattes, Ralf; Aghajari, Nushin (2005-01-01). "Expression, purification, crystallization and preliminary X-ray crystallographic studies of the trehalulose synthase MutB from Pseudomonas mesoacidophila MX-45". Acta Crystallographica Section F. 61 (1): 100–103. doi:10.1107/S1744309104030623. ISSN 1744-3091. PMC 1952383. PMID 16508103.
- ^ Layt, Stuart (2020-07-23). "Scientists say native stingless bee honey hits the sweet spot". Brisbane Times. Retrieved 2020-07-27.
- ^ Fletcher, Mary T.; Hungerford, Natasha L.; Webber, Dennis; Carpinelli de Jesus, Matheus; Zhang, Jiali; Stone, Isobella S. J.; Blanchfield, Joanne T.; Zawawi, Norhasnida (2020-07-22). "Stingless bee honey, a novel source of trehalulose: a biologically active disaccharide with health benefits". Scientific Reports. 10 (1): 12128. Bibcode:2020NatSR..1012128F. doi:10.1038/s41598-020-68940-0. ISSN 2045-2322. PMC 7376065. PMID 32699353.
- ^ "Native bees make a healthy honey no others make, and now we know how". ABC News. 27 August 2021.
