List of phenyltropanes

Phenyltropanes (PTs) are a family of chemical compounds originally derived from structural modification of cocaine. The main feature differentiating phenyltropanes from cocaine is that they lack the ester functionality at the 3-position terminating in the benzene; thus, the phenyl is attached direct to the tropane skeleton (hence the name "phenyl"-tropane) with no further spacer that the cocaine benzoyloxy provided. The original purpose of phenyltropane-related research was to extirpate the cardiotoxicity inherent in the local anesthetic "numbing" capability of cocaine (which stems from the methylated benzoate ester being essential to cocaine's blockage of sodium channels, and which causes topical anesthesia) while retaining stimulant function.[a]

Phenyltropane compounds present promising avenues of research into therapeutic applications, particularly in regard to addiction treatment. These compounds' uses vary depending on their construction and structure-activity relationship ranging from the treating of cocaine dependency to understanding the dopamine reward system in the human brain to treating Alzheimer's and Parkinson's diseases. (Since 2008 there have been continual additions to the list and enumerations of the plethora of types of chemicals that fall into the category of this substance profile.[2]) Certain phenyltropanes can even be used as a smoking cessation aid (cf. RTI-29). Many of the compounds were first elucidated in published material by the Research Triangle Institute and are thus named with "RTI" serial-numbers (in this case the long form is either RTI-COC-n, for 'cocaine' "analog", or specifically RTI-4229-n of the subsequent numbers given below in this article)[b] Similarly, a number of others are named for Sterling-Winthrop pharmaceuticals ("WIN" serial-numbers) and Wake Forest University ("WF" serial-numbers). The following includes many of the phenyltropane class of drugs that have been made and studied.

2-Carboxymethyl esters (phenyl-methylecgonines)

Like cocaine, phenyltropanes are considered a 'typical' or 'classical' (i.e. "cocaine-like") DAT re-uptake pump ligands in that they stabilize an "open-to-out" conformation on the dopamine transporter; despite the extreme similarity to phenyltropanes, benztropine and others are in suchwise not considered "cocaine-like" and are instead considered atypical inhibitors insofar as they stabilize what is considered a more inward-facing (closed-to-out) conformational state.[5]

Considering the differences between PTs and cocaine: the difference in the length of the benzoyloxy and the phenyl linkage contrasted between cocaine and phenyltropanes makes for a shorter distance between the centroid of the aromatic benzene and the bridge nitrogen of the tropane in the latter PTs. This distance being on a scale of 5.6 Å for phenyltropanes and 7.7 Å for cocaine or analogs with the benzoyloxy intact.[c] The manner in which this sets phenyltropanes into the binding pocket at MAT is postulated as one possible explanation to account for PTs increased behavioral stimulation profile over cocaine.[d]

Blank spacings within tables for omitted data use "no data", "?", "-" or "" interchangeably.

2β-carbmethoxy-3β-(4′-substituted phenyl)tropanes (IC50 values)
monohalogen halide-phenyltropanes (11a—11e) alkyl-, & alkenyl-phenyltropanes (11r—11x) alkynyl-phenyltropanes (11y & 11z)
Structure Short Name
i.e. Trivial IUPAC
(non-systematic) Name
(Singh's #)
R (para-substitution)
of benzene
DA
[3H]WIN 35428
IC50 nM
(Ki nM)
5HT
[3H]paroxetine
IC50 nM
(Ki nM)
NE
[3H]nisoxetine
IC50 nM
(Ki nM)
selectivity
5-HTT/DAT
selectivity
NET/DAT
cocaine
(benzoyloxytropane)
H 102 ± 12
241 ± 18ɑ
1045 ± 89
112 ± 2b
3298 ± 293
160 ± 15c
10.2
0.5d
32.3
0.7e
(para-hydrogen)phenyltropane
WIN 35,065-2 (β-CPT[e]) Troparil
11a
H 23 ± 5.0
49.8 ± 2.2ɑ
1962 ± 61
173 ± 13b
920 ± 73
37.2 ± 5.2c
85.3
3.5d
40.0
0.7e
para-fluorophenyltropane
WIN 35,428 (β-CFT[f])
11b
F 14 (15.7 ± 1.4)
22.9 ± 0.4ɑ
156 (810 ± 59)
100 ± 13b
85 (835 ± 45)
38.6 ± 9.9c
51.6
4.4d
53.2
1.7e
para-nitrophenyltropane
11k
NO2 10.1 ± 0.10 ? ? ? ?
para-aminophenyltropane
RTI-29[6]
11j
NH2 9.8
24.8 ± 1.3g
5110 151 521.4 15.4
para-chlorophenyltropane
RTI-31
11c
Cl 1.12 ± 0.06
3.68 ± 0.09ɑ
44.5 ± 1.3
5.00 ± 0.05b
37 ± 2.1
5.86 ± 0.67c
39.7
1.3d
33.0
1.7e
para-methylphenyltropane
RTI-32 Tolpane
11f
Me 1.71 ± 0.30
7.02 ± 0.30ɑ
240 ± 27
19.38 ± 0.65b
60 ± 0.53e
8.42 ± 1.53c
140
2.8d
35.1
1.2e
para-bromophenyltropane
RTI-51 Bromopane
11d
Br 1.81 (1.69) ± 0.30 10.6 ± 0.24 37.4 ± 5.2 5.8 20.7
para-iodophenyltropane
RTI-55 (β-CIT) Iometopane
11e
I 1.26 ± 0.04
1.96 ± 0.09ɑ
4.21 ± 0.3
1.74 ± 0.23b
36 ± 2.7
7.51 ± 0.82c
3.3
0.9d
28.6
3.8e
para-hydroxyphenyltropane
11h
OH 12.1 ± 0.86
para-methoxyphenyltropane
11i
OCH3 8.14 ± 1.3
para-azidophenyltropane
11l
N3 2.12 ± 0.13
para-trifluoromethylphenyltropane
11m
CF3 13.1 ± 2.2
para-acetylaminophenyltropane
11n
NHCOCH3 64.2 ± 2.6
para-propionylaminophenyltropane
11o
NHCOC2H5 121 ± 2.7
para-ethoxycarbonylaminophenyltropane
11p
NHCO2C3H5 316 ± 48
para-trimethylstannylphenyltropane
11q
Sn(CH3)3 144 ± 37
para-ethylphenyltropane
RTI-83
11g
Et 55 ± 2.1 28.4 ± 3.8
(2.58 ± 3.5)
4030 (3910) ± 381
(2360 ± 230)
0.5 73.3
para-n-propylphenyltropane
RTI-282i
11r
n-C3H7 68.5 ± 7.1 70.4 ± 4.1 3920 ± 130 1.0 57.2
para-isopropylphenyltropane
11s
CH(CH3)2 597 ± 52 191 ± 9.5 75000 ± 5820 0.3 126
para-vinylphenyltropane
RTI-359
11t
CH-CH2 1.24 ± 0.2 9.5 ± 0.8 78 ± 4.1 7.7 62.9
para-methylethenylphenyltropane
RTI-283j
11u
C(=CH2)CH3 14.4 ± 0.3 3.13 ± 0.16 1330 ± 333 0.2 92.4
para-trans-propenylphenyltropane
RTI-296i
11v
trans-CH=CHCH3 5.29 ± 0.53 11.4 ± 0.28 1590 ± 93 2.1 300
para-allylphenyltropane
11x
CH2CH=CH2 32.8 ± 3.1 28.4 ± 2.4 2480 ± 229 0.9 75.6
para-ethynylphenyltropane
RTI-360
11y
C≡CH 1.2 ± 0.1 4.4 ± 0.4 83.2 ± 2.8 3.7 69.3
para-propynylphenyltropane
RTI-281i
11z
C≡CCH3 2.37 ± 0.2 15.7 ± 1.5 820 ± 46 6.6 346
para-cis-propenylphenyltropane
RTI-304
11w
cis-CH=CHCH3 15 ± 1.2 7.1 ± 0.71 2,800k ± 300 0.5 186.6k
para-(Z)-phenylethenylphenyltropane cis-CH=CHPh 11.7 ± 1.12
para-benzylphenyltropane -CH2-Ph 526 ± 65 7,240 ± 390
(658 ± 35)
6670 ± 377
(606 ± 277)
13.7 12.6
para-phenylethenylphenyltropane CH2

-C-Ph
474 ± 133 2,710 ± 800
(246 ± 73)
7,060 ± 1,760
(4,260 ± 1,060)
5.7 14.8
para-phenylethylphenyltropanel -(CH2)2-Ph 5.14 ± 0.63 234 ± 26
(21.3 ± 2.4)
10.8 ± 0.3
(6.50 ± 0.20)
45.5 2.1
para-(E)-phenylethenylphenyltropanel
RTI-436
trans–CH=CHPh 3.09 ± 0.75 335 ± 150
(30.5 ± 13.6)
1960 ± 383
(1180 ± 231)
108.4 634.3
para-phenylpropylphenyltropanel -(CH2)3-Ph 351 ± 52 1,243 ± 381
(113 ± 35)
14,200 ± 1,800
(8,500 ± 1,100)
3.5 40.4
para-phenylpropenylphenyltropanel -CH=CH-CH2-Ph 15.8 ± 1.31 781 ± 258
(71 ± 24)
1,250 ± 100
(759 ± 60)
49.4 79.1
para-phenylbutylphenyltropanel -(CH2)4-Ph 228 ± 21 4,824 ± 170
(439 ± 16)
2,310 ± 293
(1,390 ± 177)
21.1 10.1
para-phenylethynylphenyltropanel
RTI-298[7]
–≡–Ph 3.7 ± 0.16 46.8 ± 5.8
(4.3 ± 0.53)
347 ± 25
(209 ± 15)
12.6 93.7
para-phenylpropynylphenyltropanel[8] –C≡C-CH2Ph 1.82 ± 0.42 13.1 ± 1.7
(1.19 ± 0.42)
27.4 ± 2.6
(16.5 ± 1.6)
7.1 15
para-phenylbutynylphenyltropanel
RTI-430
–C≡C(CH2)2Ph 6.28 ± 1.25 2180 ± 345
(198 ± 31)
1470 ± 109
(885 ± 66)
347.1 234
para-phenylpentynylphenyltropanel –C≡C-(CH2)3-Ph 300 ± 37 1,340 ± 232
(122 ± 21)
4,450 ± 637
(2,680 ± 384)
4.46 14.8
para-trimethylsilylethynylphenyltropane[3]
para-hydroxypropynylphenyltropane[3]
para-hydroxyhexynylphenyltropanel –C≡C-(CH2)4OH 57 ± 4 828 ± 29
(75 ± 2.6)
9,500 ± 812
(5,720 ± 489)
14.5 166.6
para-(thiophen-3-yl)phenyltropane
Tamagnan[4]
p-thiophene 12 0.017 189 0.001416 15.7
para-biphenyltropane
11aa
Ph 10.3 ± 2.6f
29.4 ± 3.8ɑ
15.6 ± 0.6
95.8 ± 36
(8.7 ± 3.3)
1,480 ± 269
(892 ± 162)
6.1 94.8
3β-2-naphthyltropane
RTI-318
11bb
3β-2-naphthyl 0.51 ± 0.03
3.32 ± 0.08f
3.53 ± 0.09ɑ
0.80 ± 0.06
(0.07 ± 0.1)
21.1 ± 1.0
(12.7 ± 0.60)
1.5 41.3
para-bimethoxyphenyltropane
15
OCH2OCH3h
  • ɑ[3H]DA uptake displacement Ki value.
  • b[3H]5-HT uptake displacement Ki value.
  • c[3H]NE uptake displacement Ki value.
  • d[3H]5-HT uptake to [3H]DA uptake ratio.
  • e[3H]NE uptake to [3H]DA uptake ratio.
  • fIC50 for displacement of [3H]cocaine.
  • gValues from alternate data-set differing from that used in rest of table.
  • hOriginal source (Scheme 4, page 931, 7th of article)[1] name given for compound (bottom of first ¶) is at variance with formula in scheme on same page: i.e. "methoxymethyl" versus "methoxymethoxy"
  • iProtonated as the (-)—tartrate salt (isomer)
  • jProtonated as the tartrate salt
  • kWas cited by S. Singh as 28,000nM for SERT or a DAT/SERT ratio of 1,867. However, in Singh's paper he cited J. Med. Chem. 1996, 39, 4030, Table 1[9] which shows a ten times lower value, which is consistent with numerous RTI patents published showing the ten-× lower value.
  • lWhereas many bulky additions to the arene unit of phenyltropanes hinder and impair affinity, it has been observed that the para-substituted rigid triple bond analogs terminating in a second phenyl (off of the initial C3 position phenyl) have a high-binding affinity, putatively attesting to the existence of another binding domain that extends beyond the usual ending point where the benzene accords to the acceptor somewhere along the length of range inhabited by the DAT, corresponding to a 180° extension outward from the para area of the aryl of these types of ligands.[8]

(4′-Monosubstituted 2,3-Thiophene phenyl)-tropanes

Tamagnan (thiophene) analogues of para-phenyltropanes.[4]
Compound structure Alphanumeric code
(name)
para-substitution N8 SERT DAT NET Selectivity
SERT versus DAT
Selectivity
SERT versus NET
1
(cocaine)
(—)-Cocaine CH3 1050 89 3320 0.08 3.2
2
(β-CIT), (Iometopane)
Iodo CH3 0.46 ± 0.06 0.96 ± 0.15 2.80 ± 0.40 2.1 6.1
(R,S-Citalopram) 1.60 16,540 6,190 10,338 3,869
4a 2-Thiophene CH3 0.15 ± 0.015 52 ± 12.8 158 ± 12 346 1,053
4b
(Tamagnan)
3-Thiophene CH3 0.017 ± 0.004 12.1 ± 3 189 ± 82 710 11,118
4c 2-(5-Br)-Thiophene CH3 0.38 ± 0.008 6.43 ± 0.9 324 ± 19 17 853
4d 2-(5-Cl)-Thiophene CH3 0.64 ± 0.04 4.42 ± 1.64 311 ± 25 6.9 486
4e 2-(5-I)-Thiophene CH3 4.56 ± 0.84 22.1 ± 3.2 1,137 ± 123 4.9 249
4f 2-(5-NH2)-Thiophene CH3 64.7 ± 3.7 >10,000 >30,000 >155 >464
4g 2-(4,5-NO2)-Thiophene CH3 5,000 >30,000 >10,000 >6.0 >2.0
4h 3-(4-Br)-Thiophene CH3 4.02 ± 0.34 183 ± 69 >10,000 46 >2,488
5a 2-Thiophene H 0.11 ± 0.006 12.2 ± 0.9 75.3 ± 9.6 111 685
5b 3-Thiophene H 0.23 ± 0.02 6.4 ± 0.27 39 ± 0.8 28 170

(3′,4′-Disubstituted phenyl)-tropanes

Compound
(+ S. Singh's name)
X
(4′-para)
Y
(3′-meta)
2 Position config 8 DA 5-HT NE
RTI-318
11bb
β-naphthyl CO2Me β,β NMe 0.5 0.81 20
Dichloropane (RTI-111ɑ)[10]
17c
Cl Cl CO2Me β,β NMe 0.79 3.13 18.0
RTI-88 [recheck]
17e
NH2 I CO2Me β,β NMe 1.35 1329c 320c
RTI-97
17d
NH2 Br CO2Me β,β NMe 3.91 181 282
RTI-112b
17b
Cl Me CO2Me β,β NMe 0.82 10.5 36.2
RTI-96
17a
F Me CO2Me β,β NMe 2.95 76 520
RTI-295 Et I CO2Me β,β NMe 21.3 2.96 1349
RTI-353 (EINT) Et I CO2Me β,β NH 331 0.69 148
RTI-279 Me I CO2Me β,β NH 5.98 1.06 74.3
RTI-280 Me I CO2Me β,β NMe 3.12 6.81 484
Meltzer[11] catechol CO2Me β,β NMe >100 ? ?
Meltzer[11] OAc OAc CO2Me β,β NMe ? ? ?
  • ɑas ·HCl (salt)
  • bas ·HCl·2 H2O (salt)
  • cSingh gives the reverse value with respect to i.e. 1,329 for NET & 320 for 5-HT
Para-meta-substituted 2β-carbomethoxy-3α-(4′-substituted phenyl)tropanes[1]
Compound Short Name
(S. Singh)
R2 R1 DA 5HT NE Selectivity
5-HTT/DAT
Selectivity
NET/DAT
meta-fluorophenyltropane
16a
F H 23 ± 7.8 - - - -
meta-chlorophenyltropane
16b
Cl H 10.6 ± 1.8 - - - -
meta-bromophenyltropane
16c
Br H 7.93 ± 0.08ɑ - - - -
meta-iodophenyltropane
16d
I H 26.1 ± 1.7 - - - -
meta-tributylstannylphenyltropane
16e
SnBu3 H 1100 ± 170 - - - -
meta-ethynylphenyltropane[3] C≡CH H - - - - -
meta-methyl-para-fluorophenyltropane
RTI-96
17a
CH3 F 2.95 ± 0.58 - - - -
meta-methyl-para-chlorophenyltropane
RTI-112c
17b
CH3 Cl 0.81 ± 0.05 10.5 ± 0.05 36.2 ± 1.0 13.0 44.7
meta-para-dichlorophenyltropane
RTI-111b[10] Dichloropane
17c
Cl Cl 0.79 ± 0.08b 3.13 ± 0.36b 18.0 ± 0.8
17.96 ± 0.85'b'd
4.0b 22.8b
meta-bromo-para-aminophenyltropane
RTI-97
17d
Br NH2 3.91 ± 0.59 181 282 46.2 72.1
meta-iodo-para-aminophenyltropane
RTI-88
17e
I NH2 1.35 ± 0.11 120 ± 4 1329 ± 124 88.9 984
meta-iodo-para-azidophenyltropane
17f
I N3 4.93 ± 0.32 - - - -
3β-(4-alkylthio, -methylsulfinyl, and -methylsulfonylphenyl)tropanes[12]
Structure Compound R X n Inhibition of [3H]WIN 35,428
@ DAT
IC50 (nM)
Inhibition of [3H]Paroxetine
@ 5-HTT
Ki (nM)
Inhibition of [3H]Nisoxetine
@ NET
Ki (nM)
NET/DAT
(uptake ratio)
NET/5-HTT
(uptake ratio)
Cocaine Des-thio/sulfinyl/sulfonyl
H
H Desmethyl
0
89.1 95 1990 22 21
para-methoxyphenyltropane
Singh: 11i
Des-thio/sulfinyl/sulfonyl
OCH3
H 0 6.5 ± 1.3 4.3 ± 0.5 1110 ± 64 171 258
7a CH3 H 0 9 ± 3 0.7 ± 0.2 220 ± 10 24 314
7b C2H5 H 0 232 ± 34 4.5 ± 0.5 1170 ± 300 5 260
7c CH(CH3)2 H 0 16 ± 2 23 ± 2 129 ± 2 8 7
7d CF3 H 0 200 ± 70 8 ± 2 1900 ± 300 10 238
7e CH3 Br 0 10.1 ± 1 0.6 ± 0.2 121 ± 12 12 202
7f CH3 Br 1 76 ± 18 3.2 ± 0.4 690 ± 80 9 216
7g CH3 H 1 91 ± 16 4.3 ± 0.6 515 ± 60 6 120
7h CH3 H 2 >10,000 208 ± 45 >10,000 1 48

(2′,4′-Disubstituted phenyl)-tropanes

Ortho-para-substituted (2′,4′-disubstituted phenyltropanes)
Compound structure
Trivial IUPAC
(non-systematic)
Name
R2
ortho
R1
para
DA 5HT NE Selectivity
5-HTT/DAT
Selectivity
NET/DAT
ortho,para-dinitrophenyltropane[13] NO2 NO2 - - - - -

(3′,4′,5′-Trisubstituted para-methoxyphenyl)-tropanes

Para-meta(3′)-meta(5′)-(di-meta)-substituted 2β-carbomethoxy-(3′,4′,5′-substituted phenyl)tropanes[14]
Para-methoxy/(ethoxy)-meta-substituted phenyltropanes
Structure
Short Name
(All compounds tested
as HCl salts)
R2
3′-(meta)
R3
5′-(di-meta)
OR1
4′-(para)
DAT
IC50
[3H](compound #)12
5-HTT
Ki
[3H]Paroxetine
NET
Ki
[3H]Nisoxetine
Selectivity
NET/DAT
Ratio
Ki/IC50
Selectivity
NET/5-HTT
Ratio
Ki/Ki
Cocaine - - - 89.1 95 1990 22 21
6
RTI-112
- - - 0.82 ± 0.05 0.95 ± 0.04 21.8 ± 0.6 27 23
7a
11i
H H CH3 6.5 ± 1.3 4.3 ± 0.5 1110 ± 64 171 258
7b H H C2H5 92 ± 8 1.7 ± 0.4 1690 ± 50 18 994
7c F H CH3 16 ± 1 4.8 ± 0.5 270 ± 50 17 56
7d Br H CH3 47 ± 15 3.1 ± 0.1 160 ± 20 3 52
7f Br Br CH3 92 ± 22 2.9 ± 0.1 4100 ± 400ɑ 45 1413
7e I H CH3 170 ± 60 3.5 ± 0.4 180 ± 20 1 51
7g I I CH3 1300 ± 200 7.5 ± 0.8 180 ± 20 4 667

ɑN=2

(2′,4′,5′-Trisubstituted phenyl)-tropanes

Ortho-para(4′)-meta(5′)-trisubstituted 2β-carbomethoxy-(2′,4′,5′-substituted phenyl)tropanes[3]
Structure Short Name
R1
2′-(ortho)
R2
4′-(para)
R3
5′-(meta)
DAT
5-HTT
NET
Selectivity
NET/DAT
Ratio
Selectivity
NET/5-HTT
Ratio
para-ethyl-ortho, meta-diiodophenyltropane[3] iodo ethyl iodo

2-Carbmethoxy modified (replaced/substituted)

General 2-carbmethoxy modifications

2β-substitutions of p-methoxy-phenyltropanes

Para-OCH3-(3β-(4-Methoxyphenyl)tropane-2β-carboxylic acid ester analogues[15]
Structure
Short Name
(All compounds tested
as HCl salts)
CO2R (2β-substituted)
(compound 9 is 2β=R)
DAT
IC50
[3H](compound #)12
5-HTT
Ki
[3H]Paroxetine
NET
Ki
[3H]Nisoxetine
Selectivity
NET/DAT
Ratio
Ki/IC50
Selectivity
NET/5-HTT
Ratio
Ki/Ki
7a
11i
CH3 6.5 ± 1.3 4.3 ± 0.5 1110 ± 64 171 258
8a (CH3)2CH 14 ± 3 135 ± 35 2010 ± 200 144 15
8b cyclopropane 6.0 ± 2 29 ± 3 1230 ± 140 205 42
8c cyclobutane 13 ± 3 100 ± 8 >3000 231 30
8d O2N...1,4-xylene...(CH2)2 42 ± 8 2.9 ± 0.2 330 ± 20 8 114
8e H2N...1,4-xylene...(CH2)2 7.0 ± 2 8.3 ± 0.4 2200 ± 300ɑ 314 265
8f CH3CONH...1,4-xylene...(CH2)2 6.0 ± 1 5.5 ± 0.5 1460 ± 30 243 265
8g H2N...2-bromo-1,4-dimethylbenzene...(CH2)2 3.3 ± 1.4 4.1 ± 0.6 1850 ± 90 561 451
8h H2N...1,3-dibromo-2,5-dimethylbenzene...(CH2)2 15 ± 6 2.0 ± 0.4 2710 ± 250ɑ 181 1360
8i H2N...2-iodo-1,4-dimethylbenzene...(CH2)2 2.5 ± 0.7 3.5 ± 1 2040 ± 300ɑ 816 583
8j H2N...1,3-diiodo-2,5-dimethylbenzene...(CH2)2 102 ± 15 1.0 ± 0.1 2600 ± 200ɑ 25 2600
9 3-(4-methylphenyl)-1,2-oxazole 18 ± 6 860 ± 170 >3000 167 3

ɑN=2

2β-carboxy side-chained (p-chloro/iodo/methyl) phenyltropanes

Multi-substituted structures of 2β-ester-3β-phenyltropanes[1]
Compound
Short Name
(S. Singh)
R X IC50 (nM)
DAT
[3H]WIN 35428
IC50 (nM)
5-HTT
[3H]paroxetine
IC50 (nM)
NET
[3H]nisoxetine
Selectivity
5-HTT/DAT
Selectivity
NET/DAT
23a CH(CH3)2 H 85.1 ± 2.5 23121 ± 3976 32047 ± 1491 272 376
23b C6H5 H 76.7 ± 3.6 106149 ± 7256 19262 ± 593 1384 251
24a CH(CH3)2 Cl 1.4 ± 0.13
6.04 ± 0.31ɑ
1400 ± 7
128 ± 15b
778 ± 21
250 ± 0.9c
1000
21.2d
556
41.4e
24b cyclopropyl Cl 0.96 ± 0.10 168 ± 1.8 235 ± 8.39 175 245
24c C6H5 Cl 1.99 ± 0.05
5.25 ± 0.76ɑ
2340 ± 27
390 ± 34b
2960 ± 220
242 ± 30c
1176
74.3d
1.3
41.6e
24d C6H4-4-I Cl 32.6 ± 3.9 1227 ± 176 967.6 ± 26.3 37.6 29.7
24e C6H4-3-CH3 Cl 9.37 ± 0.52 2153 ± 143 2744 ± 140 230 293
24f C6H4-4-CH3 Cl 27.4 ± 1.5 1203 ± 42 1277 ± 118 43.9 46.6
24g C6H4-2-CH3 Cl 3.91 ± 0.23 3772 ± 384 4783 ± 387 965 1223
24h C6H4-4-Cl Cl 55 ± 2.3 16914 ± 1056 4883 ± 288 307 88.8
24i C6H4-4-OCH3 Cl 71 ± 5.6 19689 ± 1843 1522 ± 94 277 21.4
24j (CH2)2C6H4-4-NO2 Cl 2.71 ± 0.13 - - - -
24k (CH)2C6H4-4-NH2 Cl 2.16 ± 0.25 - - - -
24l (CH2)2C6H3-3-I-4-NH2 Cl 2.51 ± 0.25 - - - -
24m (CH2)2C6H3-3-I-4-N3 Cl 14.5 ± 0.94 - - - -
24n (CH2)2C6H4-4-N3 Cl 6.17 ± 0.57 - - - -
24o (CH2)2C6H4-4-NCS Cl 5.3 ± 0.6 - - - -
24p (CH2)2C6H4-4-NHCOCH2Br Cl 1.73 ± 0.06 - - - -
25a CH(CH3)2 I 0.43 ± 0.05
2.79 ± 0.13ɑ
66.8 ± 6.53
12.5 ± 1.0b
285 ± 7.6
41.2 ± 3.0c
155
4.5d
663
14.8e
25b cyclopropyl I 0.61 ± 0.08 15.5 ± 0.72 102 ± 11 25.4 167
25c C6H5 I 1.51 ± 0.34
6.85 ± 0.93ɑ
184 ± 22
51.6 ± 6.2b
3791 ± 149
32.7 ± 4.4c
122
7.5d
2510
4.8e
26a CH(CH3)2 CH3 6.45 ± 0.85
15.3 ± 2.08ɑ
6090 ± 488
917 ± 54b
1926 ± 38
73.4 ± 11.6c
944
59.9d
299
4.8e
26b CH(C2H5)2 CH3 19.1 ± 1 4499 ± 557 3444 ± 44 235 180
26c cyclopropyl CH3 17.8 ± 0.76 485 ± 21 2628 ± 252 27.2 148
26d cyclobutyl CH3 3.74 ± 0.52 2019 ± 133 4738 ± 322 540 1267
26e cyclopentyl CH3 1.68 ± 0.14 1066 ± 109 644 ± 28 634 383
26f C6H5 CH3 3.27 ± 0.06
9.13 ± 0.79ɑ
24500 ± 1526
1537 ± 101b
5830 ± 370
277 ± 23c
7492
168d
1783
30.3e
26g C6H4-3-CH3 CH3 8.19 ± 0.90 5237 ± 453 2136 ± 208 639 261
26h C6H4-4-CH3 CH3 81.2 ± 16 15954 ± 614 4096 ± 121 196 50.4
26i C6H4-2-CH3 CH3 23.2 ± 0.97 11040 ± 504 25695 ± 1394 476 1107
26j C6H4-4-Cl CH3 117 ± 7.9 42761 ± 2399 9519 ± 864 365 81.3
26k C6H4-4-OCH3 CH3 95.6 ± 8.8 82316 ± 7852 3151 ± 282 861 33.0
  • ɑKi value for displacement of [3H]DA uptake.
  • bKi value for displacement of [3H]5-HT uptake.
  • cKi value for displacement of [3H]NE uptake.
  • d[3H]5-HT uptake to [3H]DA uptake ratio.
  • e[3H]NE uptake to [3H]DA uptake ratio.

Carboxyaryl

Compound X 2 Position config 8 DA 5-HT NE
RTI-122 I -CO2Ph β,β NMe 1.50 184 3,791
RTI-113 Cl -CO2Ph β,β NMe 1.98 2,336 2,955
RTI-277 NO2 -CO2Ph β,β NMe 5.94 2,910 5,695
RTI-120 [recheck] Me -CO2Ph β,β NMe 3.26 24,471 5,833
RTI-116 Cl -CO2(p-C6H4I) β,β NMe 33 1,227 968
RTI-203 Cl CO2(m-C6H4Me) β,β NMe 9.37 2153 2744
RTI-204 Cl -CO2(o-C6H4Me) β,β NMe 3.91 3,772 4,783
RTI-205 Me -CO2(m-C6H4Me) β,β NMe 8.19 5,237 2,137
RTI-206 Cl -CO2(p-C6H4Me) β,β NMe 27.4 1,203 1,278

2-Phenyl-3-Phenyltropanes

2-Phenyl-3-phenyltropane binding affinities and inhibition of DA & 5-HT Uptake[1]
Compound Structure
Short Name
(S. Singh)
Stereochemistry
X
(para)
DAT
[3H]WIN 35428 IC50 (nM)
DAT
[3H]Mazindol Ki (nM)
5-HTT
[3H]Paroxetine IC50 (nM)
[3H]DA uptake Ki (nM) [3H]5-HT uptake Ki (nM) Selectivity
[3H]5-HT/[3H]DA
Cocaine (2β,3β) (H) 89 ± 4.8 281 1050 ± 89 423 155 0.4
67a 2β,3β H 12.6 ± 1.8 14.9 21000 ± 3320 28.9 1100 38.1
67b 2β,3α H - 13.8 - 11.7 753 64.3
67c 2α,3α H 690 ± 37 - 41300 ± 5300 - - -
68 2β,3α F - 6.00 - 4.58 122 26.6
69a 2β,3β CH3 1.96 ± 0.08 2.58 11000 ± 83 2.87 73.8 25.7
69b 2β,3α CH3 - 2.87 - 4.16 287 69.0
69c 2α,3α CH3 429 ± 59 - 15800 ± 3740 - - -

Carboxyalkyl

Code X 2 Position config 8 DA 5-HT NE
RTI-77 Cl CH2C2(3-iodo-p-anilino) β,β NMe 2.51 2247
RTI-121 IPCIT I -CO2Pri β,β NMe 0.43 66.8 285
RTI-153 I -CO2Pri β,β NH 1.06 3.59 132
RTI-191 I -CO2Prcyc β,β NMe 0.61 15.5 102
RTI-114 Cl -CO2Pri β,β NMe 1.40 1,404 778
RTI-278 NO2 -CO2Pri β,β NMe 8.14 2,147 4,095
RTI-190 Cl -CO2Prcyc β,β NMe 0.96 168 235
RTI-193 Me -CO2Prcyc β,β NMe 1.68 1,066 644
RTI-117 Me -CO2Pri β,β NMe 6.45 6,090 1,926
RTI-150 Me -CO2Bucyc β,β NMe 3.74 2,020 4,738
RTI-127 Me -CO2C(H)Et2 β,β NMe 19 4500 3444
RTI-338 ethyl -CO2C2Ph β,β NMe 1104 7.41 3366

Use of a cyclopropyl ester appears to enable better MAT retention than does the choice of isopropyl ester.

Use of a cycBu resulted in greater DAT selectivity than did the cycPr homologue.

2-Alkyl Esters & Ethers

Esters (2-Alkyl)
2β-Alkyl Ester Phenyltropanes[1]
Structure Short Name
(S. Singh)
2β=R Ki (nM)
DAT
[3H]WIN 35428
IC50 (nM)
[3H]DA uptake
Selectivity
uptake/binding
59a CH=CHCO2CH3 22 ± 2 123 ± 65 5.6
59b CH2CH2CO2CH3 23 ± 2 166 ± 68 7.2
59c (CH2)2CH=CHCO2CH3 20 ± 2 203 ± 77 10.1
59d (CH22)4CO2CH3 30 ± 2 130 ± 7 4.3
59e CH=CHCH2OH 26 ± 3 159 ± 43 6.1
59f CH2CH2CH2OH 11 ± 1 64 ± 32 5.8
59g CH2CH2COC6H5 28 ± 2 47 ± 15 1.7
Ethers (2-Alkyl)
2-Alkyl Ether Phenyltropanes[1]
Molecular Structure Short Name
(S. Singh)
Stereochemistry
DAT
[3H]WIN 35428 IC50 (nM)
5-HTT
[3H]Paroxetine IC50 (nM)
NET
[3H]Nisoxetine IC50 (nM)
Selectivity
5-HTT/DAT
Selectivity
NET/DAT
Paroxetine 623 ± 25 0.28 ± 0.02 535 ± 15 0.0004 0.8
R-60a 2β,3β 308 ± 20 294 ± 18 5300 ± 450 0.9 17.2
R-60b 2α,3β 172 ± 8.8 52.9 ± 3.6 26600 ± 1200 0.3 155
R-60c 2β,3α 3.01 ± 0.2 42.2 ± 16 123 ± 9.5 14.1 40.9
S-60d 2β,3β 1050 ± 45 88.1 ± 2.8 27600 ± 1100 0.08 26.3
S-60e 2α,3β 1500 ± 74 447 ± 47 2916 ± 1950 0.3 1.9
S-60f 2β,3α 298 ± 17 178 ± 13 12400 ± 720 0.6 41.6

Carboxamides

U.S. patent 5,736,123

Structure
Code
(S. Singh #)
X 2 Position
config
8 DA
[3H]WIN 35428
(IC50 nM)
NE
[3H]nisoxetine
5-HT
[3H]paroxetine
(IC50 nM)
Selectivity
5-HTT/DAT
Selectivity
NET/DAT
RTI-106
27b
Cl CON(H)Me β,β NMe 12.4 ± 1.17 1584 ± 62 1313 ± 46 106 128
RTI-118
27a
Cl CONH2 β,β NMe 11.5 ± 1.6 4270 ± 359 1621 ± 110 141 371
RTI-222
29d
Me morpholinyl β,β NMe 11.7 ± 0.87 23601 ± 1156 >100K >8547 2017
RTI-129
27e
Cl CONMe2 β,β NMe 1.38 ± 0.1 942 ± 48 1079 ± 102 792 683
RTI-146
27d
Cl CONHCH2OH β,β NMe 2.05 ± 0.23 144 ± 3 97.8 ± 10 47.7 70.2
RTI-147
27i
Cl CON(CH2)4 β,β NMe 1.38 ± 0.03 3,950 ± 72 12400 ± 1207 8985 2862
RTI-156 Cl CON(CH2)5 β,β NMe 6.61 5832 3468
RTI-170 Cl CON(H)CH2C≡CH β,β NMe 16.5 1839 4827
RTI-172 Cl CON(H)NH2 β,β NMe 44.1 3914 3815
RTI-174 Cl CONHCOMe β,β NMe 158 >43K >125K
RTI-182 Cl CONHCH2COPh β,β NMe 7.79 1722 827
RTI-183
27 g
Cl CON(OMe)Me β,β NMe 0.85 ± 0.06 549 ± 18.5 724 ± 94 852 646
RTI-186
29c
Me CON(OMe)Me β,β NMe 2.55 ± 0.43 422 ± 26 3402 ± 353 1334 165
RTI-198
27h
Cl CON(CH2)3 β,β NMe 6.57 ± 0.67 990 ± 4.8 814 ± 57 124 151
RTI-196
27c
Cl CONHOMe β,β NMe 10.7 ± 1.25 9907 ± 632 43700 ± 1960 4084 926
RTI-201 Cl CONHNHCOPh β,β NMe 91.8 >20K >48K
RTI-208
27j
Cl CONO(CH2)3 β,β NMe 1.47 ± 0.13 1083 ± 76 2470 ± 56 1680 737
RTI-214
27l
Cl CON(-CH2CH2-)2O β,β NMe 2.90 ± 0.3 8545 ± 206 88769 ± 1855 30610 2946
RTI-215
27f
Cl CONEt2 β,β NMe 5.48 ± 0.19 5532 ± 299 9433 ± 770 1721 1009
RTI-217 Cl CONH(m-C6H4OH) β,β NMe 4.78 >30K >16K
RTI-218 Cl CON(Me)OMe β,β NMe 1.19 520 1911
RTI-226
27 m
Cl CONMePh β,β NMe 45.5 ± 3 2202 ± 495 23610 ± 2128 519 48.4
RTI-227 I CONO(CH2)3 β,β NMe 0.75 446 230
RTI-229[16]
28a
I CON(CH2)4 β,β NMe 0.37 ± 0.04 991 ± 21 1728 ± 39 4670 2678
27k 6.95 ± 1.21 1752 ± 202 3470 ± 226 499 252
28b 1.08 ± 0.15 103 ± 6.2 73.9 ± 8.1 68.4 95.4
28c 0.75 ± 0.02 357 ± 42 130 ± 15.8 173 476
29a 41.8 ± 2.45 4398 ± 271 6371 ± 374 152 105
29b 24.7 ± 1.93 6222 ± 729 33928 ± 2192 1374 252

✲RTI-183 and RTI-218 suggest possible copy-error, seeing as "CON(OMe)Me" & "CON(Me)OMe" difference between methyl & methoxy render as the same.

2β-Carboxamide-3β-Phenyltropanes[1]
Compound Short Name
(S. Singh)
R X IC50 (nM)
DAT
[3H]WIN 35428
IC50 (nM)
5-HTT
[3H]Paroxetine
IC50 (nM)
NET
[3H]Nisoxetine
Selectivity
5-HTT/DAT
Selectivity
NET/DAT
29a NH2 CH3 41.8 ± 2.45 6371 ± 374 4398 ± 271 152 105
29b N(CH2CH3)2 CH3 24.7 ± 1.93 33928 ± 2192 6222 ± 729 1374 252
29c
RTI-186
N(OCH3)CH3 CH3 2.55 ± 0.43 3402 ± 353 422 ± 26 1334 165
29d
RTI-222
4-morpholine CH3 11.7 ± 0.87 >100000 23601 ± 1156 >8547 2017

Carboxamide linked phenyltropanes dimers

Dimers of phenyltropanes, connected in their dual form using the C2 locant as altered toward a carboxamide structural configuring (in contrast and away from the usual inherent ecgonine carbmethoxy), as per Frank Ivy Carroll's patent inclusive of such chemical compounds, possibly so patented due to being actively delayed pro-drugs in vivo.[3]

Heterocycles

These heterocycles are sometimes referred to as the "bioisosteric equivalent" of the simpler esters from which they are derived. A potential disadvantage of leaving the ββ-ester unreacted is that in addition to being hydrolyzable, it can also epimerize[17] to the energetically more favorable trans configuration. This can happen to cocaine also.

Atomic positions A—C
(compound model 34)

Several of the oxadiazoles contain the same number and types of heteroatoms, while their respective binding potencies display 8×-15× difference. A finding that would not be accounted for by their affinity originating from hydrogen bonding.

To explore the possibility of electrostatic interactions, the use of molecular electrostatic potentials (MEP) were employed with model compound 34 (replacing the phenyltropane moiety with a methyl group). Focusing on the vicinity of the atoms @ positions A—C, the minima of electrostatic potential near atom position A (ΔVmin(A)), calculated with semi-empirical (AM1) quantum mechanics computations (superimposing the heterocyclic and phenyl rings to ascertain the least in the way of steric and conformational discrepancies) found a correlation between affinity @ DAT and ΔVmin(A): wherein the values for the latter for 32c = 0, 32g = -4, 32h = -50 & 32i = -63 kcal/mol.

In contrast to this trend, it is understood that an increasingly negative ΔVmin is correlated with an increase of strength in hydrogen bonding, which is the opposing trend for the above; this indicates that the 2β-substituents (at least for the heterocyclic class) are dominated by electrostatic factors for binding in-the-stead of the presumptive hydrogen bonding model for this substituent of the cocaine-like binding ligand.[g]

3-Substituted-isoxazol-5-yl

N-methylphenyltropanes with 1R β,β stereochemistry.
Code
(S.S. #)
X R DA NE 5HT
RTI-165 Cl 3-methylisoxazol-5-yl 0.59 181 572
RTI-171 Me 3-methylisoxazol-5-yl 0.93 254 3818
RTI-180 I 3-methylisoxazol-5-yl 0.73 67.9 36.4
RTI-177 β-CPPIT
32g
Cl 3-phenylisoxazol-5-yl 1.28 ± 0.18 504 ± 29 2420 ± 136
RTI-176 Me 3-phenylisoxazol-5-yl 1.58 398 5110
RTI-181 I 3-phenylisoxazol-5-yl 2.57 868 100
RTI-184 H methyl 43.3 6208
RTI-185 H Ph 285 >12K
RTI-334 Cl 3-ethylisoxazol-5-yl 0.50 120 3086
RTI-335 Cl isopropyl 1.19 954 2318
RTI-336 Cl 3-(4-methylphenyl)isoxazol-5-yl 4.09 1714 5741
RTI-337 Cl 3-t-butyl-isoxazol-5-yl 7.31 6321 37K
RTI-345 Cl p-chlorophenyl 6.42 5290 >76K
RTI-346 Cl p-anisyl 1.57 762 5880
RTI-347 Cl p-fluorophenyl 1.86 918 7257
RTI-354 Me 3-ethylisoxazol-5-yl 1.62 299 6400
RTI-366 Me R = isopropyl 4.5 2523 (1550) 42,900 (3900)
RTI-371 Me p-chlorophenyl 8.74 >100K (60,200) >100K (9090)
RTI-386 Me p-anisyl 3.93 756 (450) 4027 (380)
RTI-387 Me p-fluorophenyl 6.45 917 (546) >100K (9400)

3-Substituted-1,2,4-oxadiazole

Heterocyclic (N-methyl)phenyltropanes with 1R stereochemistry.
Structure Code
(Singh's #)
X R DAT (IC50 nM)
displacement of [3H]WIN 35428
NET (IC50 nM)
[3H]nisoxetine
5-HTT (IC50 nM)
[3H]paroxetine
Selectivity
5-HTT/DAT
Selectivity
NET/DAT
ααRTI-87 H 3-methyl-1,2,4-oxadiazole 204 36K 30K
βαRTI-119 H 3-methyl-1,2,4-oxadiazole 167 7K 41K
αβRTI-124 H 3-methyl-1,2,4-oxadiazole 1028 71K 33K
RTI-125
(32a)
Cl 3-methyl-1,2,4-oxadiazole 4.05 ± 0.57 363 ± 36 2584 ± 800 637 89.6
ββRTI-126[18]
(31)
H 3-methyl-1,2,4-oxadiazole 100 ± 6 7876 ± 551 3824 ± 420 38.3 788
RTI-130
(32c)
Cl 3-phenyl-1,2,4-oxadiazole 1.62 ± 0.02 245 ± 13 195 ± 5 120 151
RTI-141
(32d)
Cl 3-(p-anisyl)-1,2,4-oxadiazole 1.81 ± 0.19 835 ± 8 337 ± 40 186 461
RTI-143
(32e)
Cl 3-(p-chlorophenyl)-1,2,4-oxadiazole 4.06 ± 0.22 40270 ± 180
(4069)
404 ± 56 99.5 9919
RTI-144
(32f)
Cl 3-(p-bromophenyl)-1,2,4-oxadiazole 3.44 ± 0.36 1825 ± 170 106 ± 10 30.8 532
βRTI-151
(33)
Me 3-phenyl-1,2,4-oxadiazole 2.33 ± 0.26 60 ± 2 1074 ± 130 459 25.7
αRTI-152 Me 3-phenyl-1,2,4-oxadiazole 494 1995
RTI-154
(32b)
Cl 3-isopropyl-1,2,4-oxadiazole 6.00 ± 0.55 135 ± 13 3460 ± 250 577 22.5
RTI-155 Cl 3-cyclopropyl-1,2,4-oxadiazole 3.41 177 4362
RTI-4229-470 structure. Highly excited 94 pM DAT signal.[19]

above: 2D skeletal depiction.

below: 3D tube model.
N-methylphenyltropanes with 1R β,β stereochemistry.
Structure Code X 2 Group DAT (IC50 nM)
displacement of [3H]WIN 35428
NET (IC50 nM)
displacement of [3H]nisoxetine
5-HTT (IC50 nM)
displacement of [3H]paroxetine
Selectivity
5-HTT/DAT
Selectivity
NET/DAT
RTI-157 Me tetrazole 1557 >37K >43K
RTI-163 Cl tetrazole 911 5456
RTI-178 Me 5-phenyl-oxazol-2-yl 35.4 677 1699
RTI-188 Cl 5-phenyl-1,3,4-oxadiazol-2-yl 12.6 930 3304
RTI-189
(32i)
Cl 5-phenyl-oxazol-2-yl 19.7 ± 1.98 496 ± 42 1120 ± 107 56.8 25.5
RTI-194 Me 5-methyl-1,3,4-oxadiazol-2-yl 4.45 253 4885
RTI-195 Me 5-phenyl-1,3,4-oxadiazol-2-yl 47.5 1310 >22,000
RTI-199 Me 5-phenyl-1,3,4-thiadiazol-2-yl 35.9 >24,000 >51,000
RTI-200 Cl 5-phenyl-1,3,4-thiadiazol-2-yl 15.3 4142 >18,000
RTI-202 Cl benzothiazol-2-yl 1.37 403 1119
RTI-219 Cl 5-phenylthiazol-2-yl 5.71 8516 10,342
RTI-262 Cl 188.2 ± 5.01 595.25 ± 5738 5207 ± 488 316 28
RTI-370 Me 3-(p-cresyl)isoxazol-5-yl 8.74 6980 >100K
RTI-371 Cl 3-(p-chlorophenyl)isoxazol-5-yl 13 >100K >100K
RTI-436 Me -CH=CHPh[20] 3.09 1960 (1181) 335 (31)
RTI-470 Cl o-Cl-benzothiazol-2-yl 0.094 1590 (994) 1080 (98)
RTI-451 Me benzothiazol-2-yl 1.53 476 (287) 7120 (647)
32g 1.28 ± 0.18 504 ± 29 2420 ± 136 1891 394
32h 12.6 ± 10.3 929 ± 88 330 ± 196 262 73.7
Above is taken from: RTI, Kuhar, et al. U.S. patent 5,935,953 (1999).

N.B There are some alternative ways of making the tetrazole ring however; Cf. the sartan drugs synthesis schemes. Bu3SnN3 is a milder choice of reagent than hydrogen azide (cf. Irbesartan).

Acyl (C2-propanoyl)

#
(#)
X Y 2 Position config 8 DA 5-HT NE
WF-23
(39n)
β-naphthyl C(O)Et β,β NMe 0.115 0.394 No data
WF-31 PIT -Pri H C.O.Et β,β NMe 615 54.5 No data
WF-11 PTT
(39e)
Me H -C.O.Et β,β NMe 8.2 131 No data
WF-25
(39a)
H H -C.O.Et β,β NMe 48.3 1005 No data
WF-33 6-MeoBN C(O)Et α,β NMe 0.13 2.24 No data
Compound WF-11 has been shown, under consistent exposure, to elicit a biological response opposite of cocaine i.e. tyrosine hydroxylase gene expression down-regulation (instead of up-regulation as has been observed to be the case for chronic cocaine administration)
2β-acyl-3β-phenyltropane structures[h]
Structure S. Singh's
alphanumeric
assignation
(name)
R1 R2 DAT

[125I]RTI-55 IC50 (nM)

5-HTT

[3H]Paroxetine Ki (nM)

Selectivity

5-HTT/DAT

cocaine 173 ± 19
Troparil
11a
(WIN 35065–2)
98.8 ± 12.2
WF-25
39a
C2H5 C6H5 48.3 ± 2.8 1005 ± 112 20.8
39b CH3 C6H5 114 ± 22 1364 ± 616 12.0
39c C2H5 C6H4-4-F 15.3 ± 2.8 630 ± 67 41.2
39d CH3 C6H4-4-F 70.8 ± 13 857 ± 187 12.1
WF-11
39e
C2H5 C6H4-4-CH3 8.2 ± 1.6 131 ± 1 16.0
(+)-39e C2H5 C6H4-4-CH3 4.21 ± 0.05 74 ± 12 17.6
(-)-39e C2H5 C6H4-4-CH3 1337 ± 122 >10000
39f CH3 C6H4-4-CH3 9.8 ± 0.5 122 ± 22 12.4
39g CH3 C6H4-4-C2H5 152 ± 24 78.2 ± 22 0.5
39h C2H5 C6H4-4-CH(CH3)2 436 ± 41 35.8 ± 4.4 0.08
39i C2H5 C6H4-4-C(CH3)3 2120 ± 630 1771 ± 474 0.8
39j C2H5 C6H4-4-C6H5 2.29 ± 1.08 4.31 ± 0.01 1.9
39k C2H5 C6H4-2-CH3 1287 ± 322 710000 >7.8
39l C2H5 1-naphthyl 5.43 ± 1.27 20.9 ± 2.9 3.8
39m CH3 1-naphthyl 10.1 ± 2.2 25.6 ± 5.1 2.5
WF-23
39n
C2H5 2-naphthyl 0.115 ± 0.021 0.394 ± 0.074 3.5
39o CH3 2-naphthyl 0.28 ± 0.11 1.06 ± 0.36 3.8
39p C2H5 C6H4-4-CH(C2H5)2 270 ± 38 540 ± 51 2.0
39q C2H5 C6H4-4-C6H11 320 ± 55 97 ± 12 0.30
39r C2H5 C6H4-4-CH=CH2 0.90 ± 0.34 3.2 ± 1.3 3.5
39s C2H5 C6H4-4-C(=CH2)CH3 7.2 ± 2.1 0.82 ± 0.38 0.1

2β-Acyl-3β-naphthyl substituted

2β-Acyl-3β-(substituted naphthyl)-8-azabicyclo[3.2.1]octanes[22]
Structure Short Assignation
(Numeric code, Davies UB)
S. Singh
R DAT
[125H]RTI-55ɑ
IC50 nM
SERT
[3H]paroxetineb
Ki nM
NET
[3H]nisoxetinec
Ki nM
potency ratio
SERT/DAT
potency ratio
SERT/NET
WF-11
(6)
4′-Me 8.2 ± 1.6 131 ± 10 65 ± 9.2 0.06 0.5
WF-31
(7)
4′-iPr 436 ± 41 36 ± 4 >10,000 12 >250
WF-23
(8)
2-naphthalene 0.12 ± 0.02 0.39 ± 0.07 2.9 ± 0.5 0.3 7
2β-acyl-3β-1-naphthalene
(9a)
4′-H 5.3 ± 1.3 21 ± 2.9 49 ± 10 0.3 18
(9b) 4′-Me 25.1 ± 0.5 8.99 ± 1.70 163 ± 36 3 18
(9c) 4′-Et 75.1 ± 11.9 175 ± 25 4769 ± 688 0.7 27
(9d) 4′-iPr 225 ± 36 136 ± 64 >10,000 2 >73.5
(10a) 6′-Et 0.15 ± 0.04 0.38 ± 0.19 27.7 ± 9.6 0.4 74
(10b) 6′-iPr 0.39 ± 0.04 1.97 ± 0.33 no data 0.2
(10ce) 6′- OMe 0.13 ± 0.04 2.24 ± 0.34 no data 0.05
(10d) 5′-Et, 6′-OMe 30.8 ± 6.6 7.55 ± 1.57 3362 ± 148 4.1 445
(10e) 5′-C(Me)=CH2, 6′-OMe 45.0 ± 3.7 88.0 ± 13.3 2334 ± 378 0.5 26.5
(10f) 6′-I 0.35 ± 0.07 0.37 ± 0.02 no data 1.0
(10g) 7′-I 0.45 ± 0.05 0.47 ± 0.02 no data 0.5d
(10h) 5′-NO2, 6′-OMe 148 ± 50 15 ± 1.6 no data 10
(10i) 5′-I, 6′-OMe 1.31 ± 0.33 2.27 ± 0.31 781 ± 181 0.6 344
(10j) 5′-COMe, 6′-OMe 12.6 ± 3.8 15.8 ± 1.65 498 ± 24 0.8 32
(11a) 2β-COCH3, 1-naphthyl 10 ± 2.2 26 ± 5.1 165 ± 40 0.4 6.3
(11b) 2α-COCH3, 1-naphthyl 97 ± 21 217 ± 55 no data 0.45
(11c) 2α-COCH2CH3, 2-naphthyl 2.51 ± 0.82 16.4 ± 2.0 68.0 ± 10.8 0.15 4.1
(11d) 2β-COCH3, 2-naphthyl 1.27 ± 0.15 1.06 ± 0.36 4.9 ± 1.2 1.2 4.6
(11e) 2β-COCH(CH3)2, 2-naphthyl 0.25 ± 0.08 2.08 ± 0.80 37.6 ± 10.5 0.12 18.1
(11f)
79a
2β-COCH2CH3, 2-naphthyl, N8-demethyl 0.03 ± 0.01 0.23 ± 0.07 2.05 ± 0.9 0.13 8.9
  • ɑ nonspecific binding was determined in the presence of 1.0 μM WF-23
    (source equates WF-23 as analogue 3a, but table gives # as analogue 8)
  • b nonspecific binding was determined in the presence of 10.0 μM fluoxetine
  • c nonspecific binding was determined in the presence of 1.0 μM desipramine
  • d ratio shown as halved; a possible copy-error due to closeness to 1:1 of other indicated values
  • e sources differ on whether C2 position acyl is alpha or beta configured

Ester reduction

Note: p-fluorophenyl is weaker than the others. RTI-145 is not peroxy, it is a methyl carbonate.

Code X 2 Position config 8 DA 5-HT NE
RTI-100 F -CH2OH β,β NMe 47 4741 no data
RTI-101 I -CH2OH β,β NMe 2.2 26 no data
RTI-99 Br -CH2OH β,β NMe 1.49 51 no data
RTI-93 Cl -CH2OH β,β NMe 1.53 204 43.8
RTI-105 Cl -CH2OAc β,β NMe 1.60 143 127
RTI-123 Cl -CH2OBz β,β NMe 1.78 3.53 393
RTI-145 Cl -CH2OCO2Me β,β NMe 9.60 2.93 1.48

2-Alkane/Alkene

2-Alkane/Alkene-3-Phenyltropanes
Structure Singh's # R X DAT
mazindol displacement
DA uptake 5-HT Uptake Selectivity
DA uptake/DAT binding
11a
WIN 35062-2
89.4 53.7 186 0.6
11c 0.83 ± 00.7 28.5 ± 0.9 34.3
11f 5.76 6.92 23.2 1.2
41a (CH2)2CH3 H 12.2 6.89 86.8 0.6
41b (CH2)3C6H5 H 16 ± 2a 43 ± 13b 2.7
42 (CH2)2CH3 F 5.28 1.99 21.7 0.4
43a CH=CH2 Cl 0.59 ± 0.15 2.47 ± 0.5 4.2
43b E-CH=CHCl Cl 0.42 ± 0.04 1.13 ± 0.27 2.7
43c Z-CH=CHCl Cl 0.22 ± 0.02 0.88 ± 0.05 4.0
43d E-CH=CHC6H5 Cl 0.31 ± 0.04 0.66 ± 0.01 2.1
43e Z-CH=CHC6H5 Cl 0.14 ± 0.07 0.31 ± 0.09 2.2
43f CH2CH3 Cl 2.17 ± 0.20 2.35 ± 0.52 1.1
43 g (CH2)2CH3 Cl 0.94 ± 0.08 1.08 ± 0.05 1.1
43h (CH2)3CH3 Cl 1.21 ± 0.18 0.84 ± 0.05 0.7
43i (CH2)5CH3 Cl 156 ± 15 271 ± 3 1.7
43j (CH2)2C6H5 Cl 1.43 ± 0.03 1.54 ± 0.08 1.0
44a (CH2)2CH3 CH3 1.57 1.10 10.3 0.7
44b (CH2)3CH3 CH3 1.82 1.31 15.1 0.7
45 (CH2)2CH3 H 74.9 30.2 389 0.4
46 (CH2)2CH3 F 21.1 12.1 99.6 0.6
47a (CH2)2CH3 CH3 8.91 11.8 50.1 1.3
47b (CH2)3CH3 CH3 11.4 10.1 51.0 0.9

aKi value for displacement of WIN 35428.
bIC50 value.

Compound 48
para-hydro
para-chloro

Irreversible covalent (cf. ionic) C2 ligands


Irreversible (phenylisothiocyanate) binding ligand (Murthy, V.; Martin, T. J.; Kim, S.; Davies, H. M. L.; Childers, S. R. (2008). "In Vivo Characterization of a Novel Phenylisothiocyanate Tropane Analog at Monoamine Transporters in Rat Brain". Journal of Pharmacology and Experimental Therapeutics. 326 (2): 587–595. doi:10.1124/jpet.108.138842. PMID 18492949. S2CID 5996473.)[23] RTI-76:[24] 4′-isothiocyanatophenyl (1R,2S,3S,5S)-3-(4-chlorophenyl)-8-methyl-8-azabicyclo[3.2.1]octane-2-carboxylate. Also known as: 3β-(p-chlorophenyl)tropan-2β-carboxylic acid p-isothiocyanatophenylmethyl ester.

C2 Acyl, N8 phenylisothiocyanate


HD-205 (Murthy et al., 2007)[25]

Note the contrast to the phenylisothiocyanate covalent binding site locations as compared to the one on p-Isococ, a non-phenyltropane cocaine analogue.

Benztropine based (C2-position hetero-substituted) phenyltropanes


2-(Diarylmethoxymethyl)-3β-aryltropanes & 2β-[3-(Diarylmethoxy)propyl]-3β-aryltropanes.[26][27]
Structure Compound R X Y [3H]WIN 35,428
@ DAT
Ki (nM)
[3H]Citalopram
@ SERT
Ki (nM)
[3H]Nisoxetine
@ NET
Ki (nM)
[3H]Pirenzepine
@ M1
Ki (nM)
9a CH3 H H 34 ± 2 121 ± 19 684 ± 100 10,600 ± 1,100
9b F H H 49 ± 12
9c Cl H H 52 ± 2.1 147 ± 8 1,190 ± 72 11,000 ± 1,290
9d CH3 Cl H 80 ± 9 443 ± 60 4,400 ± 238 31,600 ± 4,300
9e F Cl H 112 ± 11
9f Cl Cl H 76 ± 7 462 ± 36 2,056 ± 236 39,900 ± 5,050
9g CH3 F F 62 ± 7 233 ± 24 1,830 ± 177 15,500 ± 1,400
9h F F F 63 ± 13
9i Cl F F 99 ± 18 245 ± 16 2,890 ± 222 16,300 ± 1,300
10a CH3 H H 455 ± 36 530 ± 72 2,609 ± 195 12,600 ± 1,790
10c Cl H H 478 ± 72 408 ± 16 3,998 ± 256 11,500 ± 1,720
10d CH3 Cl H 937 ± 84 1,001 ± 109 22,500 ± 2,821 18,200 ± 2,600
10f Cl Cl H 553 ± 106 1,293 ± 40 5,600 ± 183 9,600 ± 600
10g CH3 F F 690 ± 76 786 ± 67 16,000 ± 637 9,700 ± 900
10i Cl F F 250 ± 40 724 ± 100 52,300 ± 13,600 9,930 ± 1,090
12a H H H 139 ± 15 61 ± 9 207 ± 30 7,970 ± 631
12b H Cl H 261 ± 19 45 ± 3 24,600 ± 2,930
12c H F F 60 ± 7

F&B series (Biotin side-chains etc.)

One patent claims a series of compounds with biotin-related sidechains are pesticides.[18]

Structure Code para-X C2-Tropane Position config DA NE 5-HT
H F1 β,β
RTI-224 Me F1c β,β 4.49 155.6
RTI-233 Me F2 β,β 4.38 516 73.6
RTI-235 Me F3d β,β 1.75 402 72.4
F3 β,β
RTI-236 Me B1d β,β 1.63 86.8 138
RTI-237 Me B2d β,β 7.27 258 363
RTI-244 Me B3d β,β 15.6 1809 33.7
RTI-245 Cl F4c β,β 77.3
RTI-246 Me F4c β,β 50.3 3000
F5 β,β
RTI-248 Cl F6c β,β 9.73 4674 6.96
RTI-249 Cl F1c β,β 8.32 5023 81.6
RTI-266 Me F2 β,β 4.80 836 842
RTI-267 Me F7 wrong β,β 2.52 324 455
RTI-268 Me F7 right β,β 3.89 1014 382
RTI-269 Me F8 β,β 5.55 788 986

Miscellany (i.e. Misc./Miscellaneous) C2-substituents

Structure Code X 2 Position config 8 DA 5-HT NE
RTI-102 I CO2H β,β NMe 474 1928 43,400
RTI-103 Br CO2H β,β NMe 278 3070 17,400
RTI-104 F CO2H β,β NMe 2744 >100K >100K
RTI-108 Cl -CH2Cl β,β NMe 2.64 98 129.8
RTI-241 Me -CH2CO2Me β,β NMe 1.02 619 124
RTI-139 Cl -CH3 β,β NMe 1.67 85 57
RTI-161 Cl -C≡N β,β NMe 13.1 1887 2516
RTI-230 Cl H3C–C=CH2 β,β NMe 1.28 57 141
RTI-240 Cl -CHMe2 β,β NMe 1.38 38.4 84.5
RTI-145 Cl -CH2OCO2Me β,β NMe 9.60 2,932 1,478
RTI-158 Me -C≡N β,β NMe 57 5095 1624
RTI-131 Me -CH2NH2 β,β NMe 10.5 855 120
RTI-164 Me -CH2NHMe β,β NMe 13.6 2246 280
RTI-132 Me -CH2NMe2 β,β NMe 3.48 206 137
RTI-239 Me -CHMe2 β,β NMe 0.61 114 35.6
RTI-338 Et -CO2CH2Ph β,β NMe 1104 7.41 3366
RTI-348 H -Ph β,β NMe 28.2 >34,000 2670

C2-truncated/descarboxyl (non-ecgonine w/o 2-position-replacement tropanes)

Aryl-Tropenes

WO 2004113297, Peters, Dan; Olsen, Gunnar M. & Nielsen, Elsebet Oestergaard et al., "Aza-ring derivatives and their use as monoamine neurotransmitter re-uptake inhibitors", published 2004-12-29, assigned to NeuroSearch AS 

Test compound DA-uptake IC50(μM) NA-uptake IC50(μM) 5-HT-uptake IC50(μM)
(+)-3-(4-Chlorophenyl)-8-H-aza-bicyclo[3.2.1]oct-2-ene 0.26 0.028 0.010
(+)-3-Napthalen-2-yl-8-azabicyclo[3.2.1]oct-2-ene 0.058 0.013 0.00034
(–)-8-Methyl-3-(naphthalen-2-yl)-8-azabicylo[3.2.1]oct-2-ene 0.034 0.018 0.00023
US 0 
8-AZABICYCLO[3.2.1]OCT-2-ENE DERIVATIVES
Test Compound DA uptake IC50(μM) NE uptake IC50(μM) 5-HT uptake IC50(μM)
(±)-3-(3,4-Dichlorophenyl)-8-methyl-8-azabicyclo[3.2.1]oct-2-ene 0.079 0.026 0.0047

U.S. patent 2,001,047,028

Test Compound DA uptake IC50(μM) NE uptake IC50(μM) 5-HT uptake IC50(μM)
(±)-3-(4-cyanophenyl)-8-methyl-8-azabicyclo[3.2.1]oct-2-ene 18 4.9 0.047
(±)-3-(4-nitrophenyl)-8-methyl-8-azabicyclo[3.2.1]oct-2-ene 1.5 0.5 0.016
(±)-3-(4-trifluoromethoxyphenyl)-8-methyl-8-azabicyclo[3.2.1]oct-2-ene 22.00 8.00 0.0036

Enantioselective nonstandard configurations (non-2β-,3β-)

β,α Stereochemistry

Structure Compound
(RTI #)

(S. Singh's #)
X 2 Group config 8 DAT IC50 (nM)
[3H]WIN 35428
5-HTT IC50 (nM)
[3H]paroxetine
NET IC50 (nM)
[3H]nisoxetine
selectivity
5-HTT/DAT
selectivity
NET/DAT
RTI-140
20a
H CO2Me β,α NMe 101 ± 16 5,701 ± 721 2,076 ± 285 56.4 20.6
RTI-352ɑ
20d
I CO2Me β,α NMe 2.86 ± 0.16 64.9 ± 1.97 52.4 ± 4.9 22.8 18.4
RTI-549 Br CO2Me β,α NMe
RTI-319b 3α-2-naphthyl CO2Me β,α NMe 1.1 ± 0.09 11.4 ± 1.3 70.2 ± 6.28
RTI-286c
20b
F CO2Me β,α NMe 21 ± 0.57 5062 ± 485 1231 ± 91 241 58.6
RTI-274d F CH2O(3′,4′-MD-phenyl) β,α NH 3.96 5.62 14.4
RTI-287 Et CO2Me β,α NMe 327 1687 17,819
20c Cl CO2Me β,α NMe 2.4 ± 0.2 998 ± 120 60.1 ± 2.4 416 25.0
20e Me CO2Me β,α NMe 10.2 ± 0.08 4250 ± 422 275 ± 24 417 27.0
Bn CO2Me β,α NMe

α,β Stereochemistry

CA 2112084 

Compound DA (μM) M.E.D. (mg/kg) Dose (mg/kg) Activity Activity
(2R,3S)-2-(4-chlorophenoxymethyl)-8-methyl-3-(3-chlorophenyl)-8-azabicyclo[3.2.1]octane 0.39 <1 50 0 0
(2R,3S)-2-(carboxymethyl)-8-methyl-3-(2-naphthyl)-8-azabicyclo[3.2.1]octane 0.1 1 25 0 0
(2R,3S)-2-(carboxymethyl)-8-methyl-3-(3,4-dichlorophenyl)-8-azabicyclo[3.2.1]octane 0.016 0.25 50 + +++

di-chloro; para- & meta- in tandem (α,β configured phenyltropanes)

U.S. patent 2,001,047,028

Compound X 2 Group config 8 DA 5-HT NE
Brasofensine Cl2 methyl aldoxime α,β NMe
Tesofensine Cl2 ethoxymethyl α,β NMe 65 11 1.7
NS-2359 (GSK-372,475) Cl2 Methoxymethyl α,β NH

fumaric acid salts (of α,β configured phenyltropanes)

WO 2004072075, Peters, Dan; Nielsen, Elsebet Oestergaard & Olsen, Gunnar M. et al., "Novel 8-aza-bicyclo[3.2.1]octane derivatives and their use as monoamine neurotransmitter re-uptake inhibitors", published 2004-08-26, assigned to NeuroSearch AS 

Test Compound DA uptake IC50(μM) NE uptake IC50(μM) 5-HT uptake IC50(μM)
(2R,3S)-2-(2,3-dichlorophenoxymethyl)-8-methyl-3-(3-chlorophenyl)-8-azabicyclo[3.2.1]octane fumaric acid salt 0.062 0.035 0.00072
(2R,3S)-2-(Naphthaleneoxymethane)-8-methyl-3-(3-chlorophenyl)-8-azabicyclo[3.2.1]octane fumaric acid salt 0.062 0.15 0.0063
(2R,3S)-2-(2,3-dichlorophenoxymethyl)-8-H-3-(3-chlorophenyl)-8-azabicyclo[3.2.1]octane fumaric acid salt 0.10 0.048 0.0062
(2R,3S)-2-(Naphthlyloxymethane)-8-H-3-(3-chlorophenyl)-8-azabicyclo[3.2.1]octane fumaric acid salt 0.088 0.051 0.013

Arene equivalent alterations

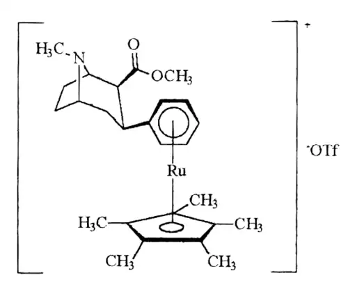
η6-3β-(transition metal complexed phenyl)tropanes

×–substitution image of both the chromium & ruthenium benzene pi-symmetry facilitating PTs.

21b can be prepared from ferrocenes and perrhenate by a double ligand transfer (DLT) reaction.[28]

Unlike metal complexed PTs created with the intention of making useful radioligands, 21a & 21b were produced seeing as their η6-coordinated moiety dramatically altered the electronic character and reactivity of the benzene ring, as well as such a change adding asymmetrical molecular volume to the otherwise planar arene ring unit of the molecule.[1] (cf. the Dewar–Chatt–Duncanson model). In addition the planar dimension of the transition metal stacked arene becomes delocalized (cf. Bloom and Wheeler.[29]).

21a was twice as potent as both cocaine and troparil in displacement of β-CFT, as well as displaying high & low affinity Ki values in the same manner as those two compounds. Whereas its inhibition of DA uptake showed it as comparably equipotent to cocaine & troparil. 21b by contrast had a one hundredfold decrease in high-affinity site binding compared to cocaine and a potency 10× less for inhibiting DA uptake. Attesting these as true examples relating useful effective applications for bioorganometallic chemistry.

Tricarbonyl-3β-chromium containing phenyltropane, having roughly twice the strength Ki affinity as parent compound at same mean affect.

The discrepancy in binding for the two benzene metal chelates is assumed to be due to electrostatic differences rather than their respective size difference. The solid cone angles, measured by the steric parameter (i.e. θ) is θ=131° for Cr(CO)3 whereas Cp*Ru was θ=187° or only 30% larger. The tricarbonyl moiety being considered equivalent to the cyclopenta dienyl (Cp) ligand.[1]

Diagram indicating the triflate, in bracket, superimposed as a direct connection between the η6 benzene containing its transition metal fixed upon the η5-penta-methyl (five-methyls) cyclopenta-dienyl (five sided ring) alongside the benzene in three dimension.
Displacement of Receptor-Bound [3H]WIN 35428 and Inhibition of [3H]DA Uptake by Transition Metal Complexes of 3β-Phenyltropanes[1]
Structure Compound #
(S. Singh)
Systematic name
Ki (nM)ɑ IC50 (nM) selectivity
binding/uptake
21ac 17 ± 15b
224 ± 83
418 24.6
21bd 2280 ± 183 3890 1.7
Cocaine 32 ± 5
388 ±221
405 12.6
Troparil (11a) 33 ± 17
314 ± 222
373 11.3
  • ɑThe binding data fit a two-site model better than a one-site model
  • bThe Ki value for the one-site model was 124 ± 10 nM
  • cIUPAC: [η6-(2β-carbomethoxy-3β-phenyl)tropane]tricarbonylchromium
  • dIUPAC: [η5-(pentamethylcyclopentadienyl)]-[η6-(2β-carbomethoxy-3β-phenyl)tropane]ruthenium-(II) triflate

3-(2-thiophene) and 3-(2-furan)

U.S. patent 7,247,643
Code Compound DA (μM) NE (μM) 5-HT (μM)
1 (2R,3S)-2-(2,3-Dichlorophenoxymethyl)-8-methyl-3-(2-thienyl)-8-aza-bicyclo[3.2.1]octanefumaric acid salt 0.30 0.0019 0.00052
2 (2R,3S)-2-(1-Naphthyloxymethyl)-8-methyl-3-(2-thienyl)-8-aza-bicyclo-[3.2.1]octane fumaric acid salt 0.36 0.0036 0.00042
3 (2R,3S)-2-(2,3-Dichlorophenoxymethyl)-8-methyl-3-(2-furanyl)-8-aza-bicyclo-[3.2.1]octane fumaric acid salt 0.31 0.00090 0.00036
4 (2R,3S)-2-(1-Naphthyloxymethyl)-8-methyl-3-(2-furanyl)-8-aza-bicyclo-[3.2.1]octane fumaric acid salt 0.92 0.0030 0.00053
5 (2R,3S)-2-(2,3-Dichlorophenoxymethyl)-8-H-3-(2-thienyl)-8-aza-bicyclo[3.2.1]octane fumaric acid salt 0.074 0.0018 0.00074
6 (2R,3S)-2-(1-Naphthyloxymethyl)-8-H-3-(2-thienyl)-8-aza-bicyclo[3.2.1]octane fumaric acid salt 0.19 0.0016 0.00054

Thiophenyltropanes

Diaryl

6/7-tropane position substituted

2β-carbomethoxy 6/7 substituted

6/7-Substituted 2-carbomethoxy-phenyltropanes[1]
Structure Compound #
(S. Singh)
Substitution DAT (IC50 nM)
displacement of [H3]WIN 35428
5-HTT (IC50 nM)
[H3]Citalopram
Selectivity
5-HTT/DAT
Cocaine H 65 ± 12 - -
103a 3β,2β, 7-OMe
3′,4′-Cl2
86 ± 4.7 884 ± 100 10.3
103b 3β,2β, 7-OH
3′,4′-Cl2
1.42 ± 0.03 28.6 ± 7.8 20.1
103c 3α,2β, 7-OH
3′,4′-Cl2
1.19 ± 0.16 1390 ± 56 1168
104a 3β,2β, 6-OH
4′-Me
215ɑ - -
104b 3β,2α, 6-OH
4′-Me
15310ɑ - -
104c 3α,2β, 6-OH
4′-Me
930ɑ - -
104d 3α,2α, 6-OH
4′-Me
7860ɑ - -
  • ɑIC50 value for displacement of [H3]mazindol. IC50 for cocaine 288 nM for displacement of [H3]mazindol

3-butyl 6/7 substituted

6/7-Substituted 3-butyl-phenyltropanes[1]
Structure Compound #
(S. Singh)
Substituent Ki nM
displacement of [H3]mazindol binding
Ki nM
[H3]DA uptake
Selectivity
uptake/binding
Cocaine H 270 ± 0.03 400 ± 20 1.5
121a 7β-CN 2020 ± 10 710 ± 40 0.3
121b 6β-CN 3040 ± 480 6030 ± 880 2.0
121c 7β-SO2Ph 4010 ± 310 8280 ± 1340 2.1
121d 6β-SO2Ph 4450 ± 430 8270 ± 690 1.8
121e 7α-OH 830 ± 40 780 ± 60 0.9
121f H 100 ± 10 61 ± 10 0.6
121g 7β-CN 24000 ± 3420 32100 ± 8540 1.3
121h 6β-CN 11300 ± 1540 26600 ± 3330 2.3
121i 7β-SO2Ph 7690 ± 2770 7050 ± 450 0.9
121j 6β-SO2Ph 4190 ± 700 8590 ± 1360 2.0
121k 7α-SO2Ph 3420 ± 1100 - -
121l 7β-SO2Ph, 7α-F 840 ± 260 2520 ± 290 3.0
121m 7α-F 200 ± 10 680 ± 10 3.4
121n 7β-F 500 ± 10 550 ± 140 1.1

intermediate 6- & 7-position synthesis modified phenyltropanes

6/7-synthetic intermediates[1]
Structure Compound #
(S. Singh)
Substituent W Substituent X Substituent Y Substituent Z
(±)-122a CN H H H
(±)-122b H H CH H
(±)-122c H CH H H
(±)-122d H H H CH
(±)-122e SO2Ph H H H
(±)-122f H H SO2Ph H
(±)-122g H SO2Ph H H
(±)-122h SO2Ph F H H
(±)-122i F SO2Ph H H
(±)-122j H H SO2Ph F

8-tropane (bridgehead) position modified

Nortropanes (N-demethylated)

NS2359 (GSK-372,475)

It is well established that electrostatic potential around the para position tends to improve MAT binding. This is believed to also be the case for the meta position, although it is less studied. N-demethylation dramatically potentiates NET and SERT affinity, but the effects of this on DAT binding are insignificant.[33] Of course, this is not always the case. For an interesting exception to this trend, see the Taxil document. There is ample evidence suggesting that N-demethylation of alkaloids occurs naturally in vivo via a biological enzyme. The fact that hydrolysis of the ester leads to inactive metabolites means that this is still the main mode of deactivation for analogues that have an easily metabolised 2-ester substituent. The attached table provides good illustration of the effect of this chemical transformation on MAT binding affinities. N.B. In the case of both nocaine and pethidine, N-demethyl compounds are more toxic and have a decreased seizure threshold.[34]

Selected ββ Nortropanes
Code
(S.S. #)
X
para
(unless position otherwise given inline)
DA 5HT NE
RTI-142
75b
F 4.39 68.6 18.8
RTI-98
75d
Norɑ-RTI-55
I 0.69 0.36 11.0
RTI-110
75c
Cl 0.62 4.13 5.45
RTI-173
75f
Et 49.9 8.13 122
RTI-279
Norɑ-RTI-280
para-Me
meta-I
5.98 ± 0.48 1.06 ± 0.10 74.3 ± 3.8
RTI-305
Norɑ-RTI-360/11y
Ethynyl 1.24 ± 0.11 1.59 ± 0.2 21.8 ± 1.0
RTI-307
Norɑ-RTI-281/11z
Propynyl 6.11 ± 0.67 3.16 ± 0.33 115.6 ± 5.1
RTI-309
Norɑ-11t
Vinyl 1.73 ± 0.05 2.25 ± 0.17 14.9 ± 1.18
RTI-330
Norɑ-11s
Isopropyl 310.2 ± 21 15.1 ± 0.97
RTI-353 para-Et
meta-I
330.54 ± 17.12 0.69 ± 0.07 148.4 ± 9.15

ɑThe N-demethylated variant of (i.e. compound code-name after dash)

N-demethylating various β,β p-HC-phenyltropanes
N-Me compound code#

N-demethylated derivative
compound code #
para-X [3H]Paroxetine [3H]WIN 35,428 [3H]Nisoxetine
11 g75f Ethyl 28.4 → 8.13 55 → 49.9 4,029 → 122
11t75i Vinyl 9.5 → 2.25 1.24 → 1.73 78 → 14.9
11y75n Ethynyl 4.4 → 1.59 1.2 → 1.24 83.2 → 21.8
11r75 g 1-Propyl 70.4 → 26 68.5 → 212 3,920 → 532
11v75k trans-propenyl 11.4 → 1.3 5.29 → 28.6 1,590 → 54
11w75l cis-propenyl 7.09 → 1.15 15 → 31.6 2,800 → 147
11x75 m Allyl 28.4 → 6.2 32.8 → 56.5 2,480 → 89.7
11z75o 1-Propynyl 15.7 → 3.16 2.37 → 6.11 820 → 116
11s75h i-Propyl 191 → 15.1 597 → 310 75,000 → ?
11u75j 2-Propenyl 3.13 → 0.6 14.4 → 23 1,330? → 144
N-Demethylating phenyltropanes to find a NRI
Isomer 4′ 3′ NE DA 5HT
β,β Me H 60 → 7.2 1.7 → 0.84 240 → 135
β,β F H 835 → 18.8 15.7 → 4.4 760 → 68.6
β,β Cl H 37 → 5.45 1.12 → 0.62 45 → 4.13
β,α Me H 270 → 9 10.2 → 33.6 4250 → 500
β,α F H 1200 → 9.8 21 → 32.6 5060 → 92.4
β,α Cl H 60 → 5.41 2.4 → 3.1 998 → 53.3
β,α F Me 148 → 4.23 13.7 → 9.38 1161 → 69.8
β,α Me F 44.7 → 0.86 7.38 → 9 1150 → 97.4

"Interest in NET selective drugs continues as evidenced by the development of atomoxetine, manifaxine, and reboxetine as new NET selective compounds for treating ADHD and other CNS disorders such as depression" (FIC, et al. 2005).[35]

N-norphenyltropanes[1]
Structure Short Name
(S. Singh)
Para-X DAT
[3H]WIN 35428 IC50 (nM)
5-HTT
[3H]Paroxetine IC50 (nM)
NET
[3H]Nisoxetine IC50 (nM)
Selectivity
5-HTT/DAT
Selectivity
NET/DAT
Norcocaine H 206 ± 29 127 ± 13 139 ± 9 0.6 0.7
75a H 30.8 ± 2.3 156 ± 8 84.5 ± 7.5 5.1 2.7
75b F 4.39 ± 0.20 68.6 ± 2.0 18.8 ± 0.7 15.6 4.3
75c Cl 0.62 ± 0.09 4.13 ± 0.62 5.45 ± 0.21 6.7 8.8
75d I 0.69 ± 0.2 0.36 ± 0.05 7.54 ± 3.19 0.5 10.9
75e para-I
&
2β-CO2CH(CH3)2
1.06 ± 0.12 3.59 ± 0.27 132 ± 5 3.4 124
75f C2H5 49.9 ± 7.3 8.13 ± 0.30 122 ± 12 0.2 2.4
75g n-C3H7 212 ± 17 26 ± 1.3 532 ± 8.1 0.1 2.5
75h CH(CH3)2 310 ± 21 15.1 ± 0.97 - 0.05 -
75i CH=CH2 1.73 ± 0.05 2.25 ± 0.17 14.9 ± 1.18 1.3 8.6
75j C-CH3

CH2
23 ± 0.9 0.6 ± 0.06 144 ± 12 0.03 6.3
75k trans-CH=CHCH3 28.6 ± 3.1 1.3 ± 0.1 54 ± 16 0.04 1.9
75l cis-CH=CHCH3 31.6 ± 2.2 1.15 ± 0.1 147 ± 4.3 0.04 4.6
75m CH2CH=CH2 56.5 ± 56 6.2 ± 0.3 89.7 ± 9.6 0.1 1.6
75n CH≡CH 1.24 ± 0.11 1.59 ± 0.2 21.8 ± 1.0 1.3 17.6
75o CH≡CCH3 6.11 ± 0.67 3.16 ± 0.33 116 ± 5.1 0.5 19.0
75pɑ 3,4-Cl2 0.66 ± 0.24 1.4b - 2.1 -

ɑThese values determined in Cynomolgus monkey caudate-putamen bThe radioligand used for 5-HTT was [3H]citalopram

2β-Propanoyl-N-norphenyltropanes[1]
Compound Structure Short Name
(S. Singh)
DAT
[125I]RTI-55 IC50 (nM)
5-HTT
[3H]Paroxetine Ki (nM)
NET
[3H]Nisoxetine Ki (nM)
Selectivity
5-HTT/DAT
Selectivity
NET/DAT
79a 0.07 ± 0.01 0.22 ± 0.16 2.0 ± 0.09 3.1 28.6
79b 4.7 ± 0.58 19 ± 1.4 5.5 ± 2.0 4.0 1.2
79c 380 ± 110 5.3 ± 1.0 3400 ± 270 0.01 8.9
79d 190 ± 17 150 ± 50 5100 ± 220 0.8 26.8
79e 490 ± 120 85 ± 16 4300 ± 1100 0.1 8.8
79f 1.5 ± 1.1 0.32 ± 0.06 10.9 ± 1.5 0.2 7.3
79g 16 ± 4.9 0.11 ± 0.02 94 ± 18 0.07 5.9

Paroxetine homologues

See the N-methyl paroxetine homologues cf. di-aryl phenyltropanes for another SSRI approximated hybrid: the fluoxetine based homologue of the phenyltropane class.

2-(3,4-(Methylenedioxy)phenoxy)methyl-norphenyltropane binding potencies[1]
Compound Structure Short Name
(S. Singh)
Stereochemistry DAT
[3H]WIN 35428 IC50 (nM)
5-HTT
[3H]Paroxetine IC50 (nM)
NET
[3H]Nisoxetine IC50 (nM)
Selectivity
5-HTT/DAT
Selectivity
NET/DAT
Paroxetine - 623 ± 25 0.28 ± 0.02 535 ± 15 0.0004 0.8
R-81a 2β,3β 835 ± 90 480 ± 21 37400 ± 1400 0.6 44.8
R-81b 2α,3β 142 ± 13 90 ± 3.4 2500 ± 250 0.6 17.6
R-81c 2β,3α 3.86 ± 0.2 5.62 ± 0.2 14.4 ± 1.3 1.4 3.7
S-81d 2β,3β 1210 ± 33 424 ± 15 17300 ± 1800 0.3 14.3
S-81e 2α,3β 27.6 ± 2.4 55.8 ± 5.73 1690 ± 150 2.0 61.2
S-81f 2β,3α 407 ± 33 19 ± 1.8 1990 ± 176 0.05 4.9

N-replaced (S,O,C)

R-97a (above) & S-97b (below), both examples of interim. synth. prod. in the R/S-90 & 91 series of phenyltropanes; showing the decay of the benzene structure during the synthetic process preceding the creation of like-series of PTs.[1]
Mid-synth stage in similar compound preparation as like to above.

The eight position nitrogen has been found to not be an exclusively necessary functional anchor for binding at the MAT for phenyltropanes and related compounds. Sulfurs, oxygens, and even the removal of any heteroatom, leaving only the carbon skeleton of the structure at the bridged position, still show distinct affinity for the monoamine transporter cocaine-target site and continue to form an ionic bond with a measurable degree of reasonable efficacy.

Compound X 2 Group config 8 DA 5-HT NE
Tropoxane Cl,Cl CO2Me (racemic) β,β O 3.3 6.5 No data
O-4210[36] p-F 3-methyl-5-isoxazole β,β S 7.0 >1000 No data


8-oxa bridgehead replacements

8-Oxanortropanes, binding inhibition using monkey caudate-putamen[1]
Structure Compound #
(S. Singh)
Para-
(meta-)
DAT (IC50 nM)
displacement of [H3]WIN 35428
5-HTT (IC50 nM)
[H3]Citalopram
Selectivity
5-HTT/DAT
R/S-90a H >1000 >1000 -
R/S-90b F 546 2580 4.7
R/S-90c Cl 10 107 10.7
R/S-90d Br 22 30 1.4
R/S-90e I 7 12 1.7
R/S-90f 3,4-Cl2 3.35 6.52 1.9
R-90g 3,4-Cl2 3.27 4.67 1.4
S-90h 3,4-Cl2 47 58 1.2
R/S-91a H 1990 11440 5.7
R/S-91b F >1000 >10000 -
R/S-91c Cl 28.5 816 28.6
R/S-91d Br 9 276 30.7
R/S-91e I 42 72 1.7
R/S-91f 3,4-Cl2 3.08 64.5 20.9
R-91g 3,4-Cl2 2.34 31 13.2
S-91h 3,4-Cl2 56 2860 51.1

8-carba bridgehead replacements

8-carba 3-Aryl bicyclo[3.2.1]octanes[1]
Structure Compound #
(S. Singh)
DAT (IC50 nM)
displacement of [H3]WIN 35428
5-HTT (IC50 nM)
[H3]Citalopram
Selectivity
5-HTT/DAT
R/S-98a 7.1 ± 1.7 5160 ± 580 726
R/S-98b 9.6 ± 1.8 33.4 ± 0.6 3.5
R/S-98c 14.3 ± 1.1 180 ± 65 12.6

N-alkyl

Compound X 2 Group config 8 DAT SERT NET
FP-β-CPPIT Cl 3′-phenylisoxazol-5′-yl β,β NCH2CH2CH2F - - -
FE-β-CPPIT Cl (3′-phenylisoxazol-5′-yl) β,β NCH2CH2F - - -
Altropane (IACFT) F CO2Me β,β NCH2CH=CHF - - -
FECNT[37] I CO2Me β,β NCH2CH2F - - -
RTI-310 U.S. patent 5,736,123 I CO2Me β,β N-Prn 1.17 - -
RTI-311 I CO2Me β,β NCH2CH=CH2 1.79 - -
RTI-312 U.S. patent 5,736,123 I CO2Me β,β NBun 0.76 - -
RTI-313 U.S. patent 5,736,123 I CO2Me β,β NCH2CH2CH2F 1.67 - -
Ioflupane (FP-CIT) 123I CO2Me β,β NCH2CH2CH2F - - -
PE2I[37] Me CO2Me β,β NCH2CH=CHI - - -
RTI-251 Cl CO2Me β,β NCH2CO2Et 1.93 10.1 114
RTI-252 Cl CO2Me β,β NCH2CH2CO2Et 2.56 35.2 125
RTI-242 Cl β,β (bridged) -C(O)CH(CO2Me)CH2N 7.67 227 510

Bi- and tri-cyclic aza compounds and their uses.[38][39]

N-substituted 3β-phenylnortropanes[1]
(including N-phthalimidoalkyl analogues of β-CIT)
Structure Short Name
(S. Singh)
Nitrogen side-chain
(N8)
DAT
[3H]GBR 12935 Ki (nM)
5-HTT
[3H]Paroxetine Ki (nM)
NET
[3H]Nisoxetine Ki (nM)
Selectivity
5-HTT/DAT
Selectivity
NET/DAT
Cocaine H 350 ± 80 >10000 >30000 >28.6 -
GBR 12909 - 0.06 ± 0.02 52.8 ± 4.4 >20000 880 -
WIN 35428
11b
H 14.7 ± 2.9 181 ± 21 635 ± 110 12.3 43.2
RTI-55
11e
H 1.40 ± 0.20 0.46 ± 0.06 2.80 ± 0.40 0.3 2
82a CH2CH=CH2 22.6 ± 2.9ɑ - - - -
82b CH2CH2CH3 43.0 ± 17.7ɑ - - - -
82c CH2C6H5 58.9 ± 1.65b 1073c - 18.2 -
82d (CH2)3C6H5 1.4 ± 0.2b 133 ± 7c - 95.0 -
82e (CH2)5C6H5 3.4 ± 0.83b 49.9 ± 10.2c - 14.7 -
83a CH2CH2CH2F 1.20 ± 0.29 48.7 ± 8.4 10000 40.6 8333
83b CH2CH2F 4.40 ± 0.35 21.7 ± 8.3 >10000 4.9 -
84a CH2CH2CH2F 3.50 ± 0.39 0.110 ± 0.02 63.0 ± 4.0 0.03 18
84b CH2CH2F 4.00 ± 0.73 0.140 ± 0.02 93.0 ± 17.0 0.03 23.2
84c CH2CHF2 15.1 ± 3.7 9.6 ± 1.5 >5000 0.6 -
84d CH2CH2CH2Cl 3.10 ± 0.57 0.32 ± 0.06 96.0 ± 29.0 0.1 31.0
84e CH2CH2CH2Br 2.56 ± 0.57 0.35 ± 0.08 164 ± 47 0.1 64.1
84f CH2CH2CH2I 38.9 ± 6.3 8.84 ± 0.53 5000 0.2 128
84g CH2...methylcyclopropane 4.30 ± 0.87 1.30 ± 0.25 198 ± 9.6 0.3 46.0
84h CH2CH2CH2OH 5.39 ± 0.21 2.50 ± 0.20 217 ± 19 0.5 40.2
84i CH2CH2(OCH3)2 6.80 ± 1.10 1.69 ± 0.09 110 ± 7.7 0.2 16.2
84j CH2CO2CH3 11.9 ± 1.4 0.81 ± 0.10 29.1 ± 1.0 0.07 2.4
84k CH2CON(CH3)2 12.2 ± 3.8 6.40 ± 1.70 522 ± 145 0.5 42.8
84l CH2CH2CH2OMs 36.3 ± 2.1 17.3 ± 1.2 5000 0.5 138
84m COCH(CH3)2 2100 ± 140 102 ± 23 >10000 0.05 -
84n (CH2)2Pht 4.23 ± 0.48 0.84 ± 0.02 441 ± 66.0 0.2 104
84o (CH2)3Pht 9.10 ± 1.10 0.59 ± 0.07 74.0 ± 11.6 0.06 8.1
84p (CH2)4Pht 2.38 ± 0.22 0.21 ± 0.02 190 ± 18.0 0.09 79.8
84q (CH2)5Pht 2.40 ± 0.17 0.34 ± 0.03 60.0 ± 3.10 0.1 25.0
84r (CH2)8Pht 2.98 ± 0.30 0.20 ± 0.02 75.0 ± 3.6 0.07 25.2
84sd CH2CH=CH-CH3 15 ± 1 75 ± 5 400 ± 80 5.0 26.7
84td CH2C(Br)=CH2 30 ± 5 200 ± 40 >1000 6.7 -
84ud CH2CH=CH2I(E) 30 ± 5 960 ± 60 295 ± 33 32.0 9.8
84vd CH2C≡CH 14 ± 1 100 ± 30 >1000 7.1 -
84wd CH2C6H5 42 ± 12 100 ± 17 600 ± 100 2.4 14.3
84xd CH2C6H4-2-CH3 93 ± 19 225 ± 40 >1000 2.4 -
85ad para-H 113 ± 41 100 ± 20 >1000 0.9 -
85bd para-Cl, meta-Cl 29 ± 4 50 ± 6 500 ± 120 1.7 17.2
85cd para-Me 17 ± 7 500 ± 30 >1000 29.4 -
85dd para-CH(CH3)2 500 ± 120 450 ± 80 >1000 0.9 -
85ed para-n-C3H7 500 ± 100 300 ± 12 750 ± 160 0.6 1.5
  • ɑIC50 for displacement of [3H]cocaine. IC50 for cocaine = 67.8 ± 8.7 (nM)
  • bIC50 values for displacement of [3H]WIN 35428
  • cIC50 values for displacement of [3H]citalopram
  • dThe standard Ki value for the displacement of [3H]GBR 12935, [3H]paroxetine, and [3H]nisoxetine were 27 ± 2, 3 ± 0.2, and 80 ± 28 nM, respectively, for these experiments
3β-(4-alkylthiophenyl)nortropanes[12]
Structure Compound R1 R2 Inhibition of [3H]WIN 35,428
@ DAT
IC50 (nM)
Inhibition of [3H]Paroxetine
@ 5-HTT
Ki (nM)
Inhibition of [3H]Nisoxetine
@ NET
Ki (nM)
NET/DAT
(uptake ratio)
NET/5-HTT
(uptake ratio)
See 7a—7h table
7a CH3 CH3 9 ± 3 0.7 ± 0.2 220 ± 10 24 314
7b C2H5 CH3 232 ± 34 4.5 ± 0.5 1170 ± 300 5 260
8a CH3 H 28 ± 6 0.19 ± 0.01 21 ± 6 0.8 110
8b C2H5 H 177 ± 62 1.26 ± 0.05 118 ± 13 0.7 94
9a CH3 FCH2CH2CH2 112 ± 2 3 ± 1 960 ± 100 9 320
9b C2H5 FCH2CH2CH2 1,200 ± 200 27 ± 2 >2,000 2 74
10a CH3 CH2=CH2CH2 71 ± 25 5.5 ± 0.8 2,000 ± 500 28 364
10b C2H5 CH2=CH2CH2 1,100 ± 100 47 ± 3 >2,000 2 43
11a CH3 CH3CH2CH2 74 ± 20 5.7 ± 0.6 1,200 ± 140 16 211
11b C2H5 CH3CH2CH2 900 ± 300 49 ± 6 >2,000 2 41

Bridged N-constrained phenyltropanes (fused/tethered)

See: Bridged cocaine derivatives & N8 Tricyclic (2β—crossed-over) N8—to—3β replaced aryl linked (expansive front-bridged) cocaine analogues

p-methyl aryl front & back N-bridged phenyltropanes

U.S. patent 6,150,376

Structures mentioned in US6150376 table of Ki data.
Alternate 2D rendering of compound "42a" (from among the above 'bridged' phenyltropanes) to elucidate the potential overlaying structure of the place inhabited by the constrained nitrogen. Compare JNJ-7925476, tametraline and similar compounds.
RTI-242
Activity at monoamine transporters: Binding Affinities & MAT Inhibition of Bridged Phenyltropanes Ki (nM)
Compound #
(S. Singh's #)
2β=R [3H]Mazindol
binding
[3H]DA
uptake
[3H]5-HT
uptake
[3H]NE
uptake
selectivity
[3H]5-HT/[3H]DA
cocaine CO2CH3 375 ± 68 423 ± 147 155 ± 40 83.3 ± 1.5 0.4
(–)-40
(–)-128
54.3 ± 10.2 60.3 ± 0.4 1.76 ± 0.23 5.24 ± 0.07 0.03
(+)-40
(+)-128
79 ± 19 114 ± 28 1.48 ± 0.07 4.62 ± 0.31 0.01
(±)-40
(±)-128
61.7 ± 8.5 60.3 ± 0.4 2.32 ± 0.23 2.69 ± 0.12 0.04
29β 620 1420 8030
30β 186 492 97.7
31β 47.0 211 28.5
29α 4140 20100 3920
30α 3960 8850 696 1150
45
129
6.86 ± 0.43 24.0 ± 1.3 1.77 ± 0.04 1.06 ± 0.03 0.07
42a
131a
n-Bu 4.00 ± 0.07 2.23 ± 0.12 14.0 ± 0.6 2.99 ± 0.17 6.3
41a
130a
n-Bu 17.2 ± 1.13 10.2 ± 1.4 78.9 ± 0.9 15.0 ± 0.4 7.8
42b
131b
Et 3.61 ± 0.43 11.3 ± 1.1 25.7 ± 4.3 4.43 ± 0.01 2.3
50a
133a
n-Bu 149 ± 6 149 ± 2 810 ± 80 51.7 ± 12 5.4
49a
132a
n-Bu 13.7 ± 0.8 14.2 ± 0.1 618 ± 87 3.84 ± 0.35 43.5
(–)-4 10500 16500 1890 70900
(+)-4 18500 27600 4630 38300
(–)-5 9740 9050 11900 4650
(+)-5 6770 10500 25100 4530
RTI-4229/Coc-242 N8/2β-C(O)CH(CO2Me)CH2N para-chloro 7.67 ± 0.31ɑ 226.54 ± 27.37b 510.1 ± 51.4c
  • ɑValue for displacement of [3H]WIN 35,428 binding @ DAT
  • bValue for displacement of [3H]paroxetine binding to SERT
  • cValue for displacement of [3H]nisoxetine from NET

Fused tropane-derivatives as neurotransmitter reuptake inhibitors. Singh notes that all bridged derivatives tested displayed 2.5—104 fold higher DAT affinity than cocaine. The ones 2.8—190 fold more potent at DAT also had increased potency at the other two MAT sites (NET & SERT); NET having 1.6—78× increased activity. (+)-128 additionally exhibited 100× greater potency @ SERT, whereas 132a & 133a had 4–5.2× weaker 5-HTT (i.e. SERT) activity. Front-bridged (e.g. 128 & 129) had a better 5-HT/DA reuptake ratio in favor of SERT, while the back-bridged (e.g. 130–133) preferred placement with DAT interaction.[1] U.S. patent 5,998,405

3,4-Cl2 aryl front-bridged phenyltropanes

Fused Tropane: NeuroSearch A/S, Scheel-Krüger et al. U.S. patent 5,998,405
Frontbridged phenyltropane synthesis intermediate product compound #140
Code Compound DA (μM) NE (μM) 5-HT (μM)
1 (1 S,2S,4S,7R)-2-(3,4-Dichloro- phenyl)-8-azatricyclo[5.4.0.04,8]- undecan-11 -one O-methyl-oxime 0.012 0.0020 0.0033
2 (1 S,2S,4S,7R)-2-(3,4-Dichloro- phenyl)-8-azatricyclo[5.4.0.04,8]- undecan-11-one 0.18 0.035 0.0075
3 (1 S,3S,4S,8R)-3-(3,4-Dichloro-phenyl)-7-azatricyclo[5.3.0.04,8]- decan-5-one O-methyl-oxime 0.0160 0.0009 0.0032
4 (1 S,2S,4S,7R)-2-(3,4-Dichloro-phenyl)-8-azatricyclo[5.4.0.04,8]- undecan-11-ol 0.0750 0.0041 0.0028
5 (1 S,3S,4S,8R)-3-(3,4-Dichloro-phenyl)-7-azatricyclo[5.3.0.04,8]- decan-5-one 0.12 0.0052 0.0026
6 (1 S,3S,4S,8R)-3-(3,4-Dichloro- phenyl)-7-azatricyclo[5.3.0.04,8]-decan-5-ol 0.25 0.0074 0.0018
7 (1S,3S,4S,8R)-3- (3,4-Dichloro- phenyl)-7-azatricyclo[5.3.0.04,8]dec- 5-yl acetate 0.21 0.0061 0.0075
8 (1S,3S,4S,8R)-3-(3,4-Dichlorophenyl)-5-methoxy-7- azatricyclo[5.3.0.04,8]decane 0.022 0.0014 0.0001
  1. 1-Chloroethyl chloroformate is used to remove N-methyl of trans-aryltropanes.
  2. 2° amine is reacted with Br(CH2)nCO2Et.
  3. Base used to abstract proton α- to CO2Et group and complete the tricyclic ring closure step (Dieckmann cyclization).

To make a different type of analog (see Kozikowski patent above)

  1. Remove N-Me
  2. Add ɣ-bromo-chloropropane
  3. Allow for cyclization with K2CO3 base and KI cat.

C2 + C3 (side-chain) fused (carboxylate & benzene conjoined)

Nitrogen-front-bridged indole phenyltropane.


(1R,2S,10R,12S)-15-methyl-15-azatetracyclo(10.2.1.02,10.04,9)pentadeca-4(9),5,7-trien-3-one[3]

C3 to 1′ + 2′ (ortho) tropane locant dual arene bridged


Parent compound of a series of spirocyclic cocaine benzoyl linkage modification analogs created by Suzuki coupling method of ortho-substituted arylboronic acids and an enol-triflate derived from cocaine; which technically has the three methylene length of cocaine analogues as well as the single length which defines the phenyltropane series. Note that the carbomethoxyl group is (due to constraints in synthetic processes used in the creation of this compound) alpha configured; which is not the usual, most prevalent, conformation favored for the PT cocaine-receptor binding pocket of most such sub-type of chemicals. The above and below depictions show attested compounds synthesized, additionally with variations upon the Endo–exo isomerism of their structures.[40]

Cycloalkane-ring alterations of the tropane ring system

Azanonane (outer ring extended)

3-Phenyl-9-azabicyclo[3.3.1]nonane derivatives

To better elucidate the binding requirements at MAT, the methylene unit on the tropane was extended by one to create the azanonane analogs.[i] Which are the beginning of classes of modifications that start to become effected by the concerns & influences of macrocyclic stereocontrol.

Despite the loosened flexibility of the ring system, nitrogen constrained variants (such as were created to make the bridged class of phenyltropanes) which might better fit the rigid placement necessary to suit the spatial requirements needed in the binding pocket were not synthesized. Though front-bridged types were synthesized for the piperidine homologues: the trend of equal values for either isomers of that type followed the opposing trend of a smaller and lessened plasticity of the molecule to contend with a rationale for further constraining the pharmacophore within that scope. Instead such findings lend credence to the potential for the efficacy of fusing the nitrogen on an enlarged tropane, as like upon the compounds given below.

[3.3.1]azanonane analogues
displacement of bound [3H]WIN 35428[1]
Structure Compound #
(S. Singh)
Ki (nM)
Cocaine 32 ± 5
390 ± 220
WIN 35065-2 33 ± 17
310 ± 220
146a 4600 ± 510
146b 5730 ± 570
146c 3450 ± 310
146d 3470 ± 350
147 13900 ± 2010

Azabornane (outer ring contracted)

3-Phenyl-7-azabicyclo[2.2.1]heptane derivatives

Ring-contracted analogs of phenyltropanes did not permit sufficient penetration of the phenyl into the target binding site on MAT for an affinity in the efficacious range. The distance from the nitrogen to the phenyl centroid for 155a was 4.2 and 155c was 5.0 Å, respectively. (Whereas troparil was 5.6 & compound 20a 5.5 angstroms). However piperidine homologues (discussed below) had comparable potencies.[j]

2-exo-phenyl-7-azabicyclo[2.2.1]heptane:

The non-carboxylic (and DAT substrate, releasing agent) variant of exo-2-phenyl-7-azabicyclo(2.2.1)heptane-1-carboxylic acid (N.B. the carboxy in the latter shares the C1 tropane position with the two carbon nitrogen containing bridge; sharing in the leftmost (R) substitution of the above depiction & unlike the placement on the tropane for either the carbmethoxy or phenyl ring of the azabornane analogues given in this section)

With the carboxy ester function removed the resultant derived compound acts as a DAT substrate drug, thus an amphetaminergic releaser of MAT & VMAT, yet similar to phenyltropanes (that usually are only re-uptake ligands)
[41] cf. EXP-561 & BTQ.

Azabornanes with longer substitutions at the 3β-position (benzoyloxys alkylphenyls, carbamoyls etc.) or with the nitrogen in the position it would be on the piperidine homologues (i.e. arrangements of differing locations for the nitrogens being either distal or proximal within the terms required to facilitate the framework of the compound to a correlative proportion, functional for the given moiety), were not synthesized, despite conclusions that the nitrogen to phenyl length was the issue at variance enough to be the interfering factor for the proper binding of the compressed topology of the azabornane. Carroll, however, has listed benzoyloxy azabornanes in patents.[3]

[2.2.1]azabornane analogues
displacement of bound [3H]WIN 35428[1]
Structure Compound #
(S. Singh)
Ki (nM)
Cocaine 32 ± 5
390 ± 220
WIN 35065-2 33 ± 17
310 ± 220
155a 60,400 ± 4,800
155b 96,500 ± 42
155c 5,620 ± 390
155d 18,900 ± 1,700

Piperidine homologues (inner two-carbon bridge excised)

Piperidine homologues had comparable affinity & potency spreads to their respective phenyltropane analogues. Without as much of a discrepancy between the differing isomers of the piperidine class with respect to affinity and binding values as had in the phenyltropanes.

Phenyltropane 4-aryl-3-carboalkoxy-piperidine analogues[1]
Structure Compound #
(S. Singh)
X = para- / 4′-
Substitution
R = 2-tropane position DAT (IC50 nM)
[H3]WIN 35428 binding displacement
DA (IC50 nM)
[H3]DA uptake
Selectivity
Uptake/Binding
Cocaine H CO2Me 102 ± 9 239 ± 1 2.3
(±)-166a Cl β-CO2CH3 53.7 ± 1.9 37.8 ± 7.9 0.7
(-)-166a Cl β-CO2CH3 24.8 ± 1.6 85.2 ± 2.6 3.4
(+)-166a Cl β-CO2CH3 1360 ± 125 5090 ± 172 3.7
(-)-167a Cl β-CO2OH 75.3 ± 6.2 49.0 ± 3.0 0.6
(+)-167a Cl β-CO2OH 442 ± 32
(-)-168a Cl β-CO2OAc 44.7 ± 10.5 62.9 ± 2.7 1.4
(+)-168a Cl β-CO2OAc 928 ± 43 2023 ± 82 2.2
(-)-169a[42] Cl β-n-Pr 3.0 ± 0.5 8.3 ± 0.6 2.8
(-)-170a H β-CO2CH3 769 ± 19
(±)-166b Cl α-CO2CH3 197 ± 8
(+)-166b Cl α-CO2CH3 57.3 ± 8.1 34.6 ± 3.2 0.6
(-)-166b Cl α-CO2CH3 653 ± 38 195 ± 8 0.3
(+)-167b Cl α-CO2OH 240 ± 18 683 ± 47 2.8
(+)-168b Cl α-CO2OAc 461 ± 11
(+)-169b Cl α-n-Pr 17.2 ± 0.5 23.2 ± 2.2 1.3

Heterocyclic N-Desmethyl[43]

Activity @ MAT for piperidine homologues of phenyltropanes, including naphthyl derivatives[44]
Structure Compound # [3H]DA uptake (nM)
IC50
[3H]DA uptake (nM)
Ki
[3H]NE uptake (nM)
IC50
[3H]NE uptake (nM)
Ki
[3H]5-HTT uptake (nM)
IC50
[3H]5-HTT uptake (nM)
Ki
Uptake Ratio
DA/5-HT (Ki)
Uptake Ratio
NE/5-HT (Ki)
Cocaine 459 ± 159 423 ± 147 127 ± 4.1 108 ± 3.5 168 ± 0.4 155 ± 0.4 2.7 0.69
Fluoxetine >4500 >2500 193 ± 4.1 176 ± 3.5 8.1 ± 0.7 7.3 ± 0.7 624 24
20 75 ± 9.1 69 ± 8.1 101 ± 3.3 88 ± 2.9 440 ± 30 391 ± 27 0.18 0.23
6 23 ± 1.0 21 ± 0.9 - 34 ± 0.8 8.2 ± 0.3 7.6 ± 0.2 2.8 4.5
7 >1000 947 ± 135 - 241 ± 1.7 8.2 ± 0.3 7.6 ± 0.2 22.6 5.7
8 94 ± 9.6 87 ± 8.9 - 27 ± 1.6 209 ± 17 192 ± 16 0.45 0.14
9 293 ± 6.4 271 ± 5.9 - 38 ± 4.0 13 ± 0.7 12 ± 0.7 23 3.2
19 97 ± 8.6 90 ± 8.0 34 ± 2.5 30 ± 2.3 3.9 ± 0.5 3.5 ± 0.5 26 8.6
10 326 ± 1.2 304 ± 1.1 337 ± 37 281 ± 30 113 ± 4.3 101 ± 3.8 3.0 2.8
14 144 ± 20 131 ± 18 204 ± 5.6 175 ± 4.8 155 ± 3.9 138 ± 3.5 0.95 1.3
15 >1800 >1700 >1300 >1100 275 ± 39 255 ± 37 >6 >4
16 >1000 964 ± 100 >1200 >1000 334 ± 48 309 ± 44 3.1 3.5
17 213 ± 30 187 ± 26 399 ± 12 364 ± 9.2 189 ± 37 175 ± 34 1.1 2.1
18 184 ± 30 173 ± 26 239 ± 42 203 ± 36 67 ± 4.5 62 ± 4.1 2.8 3.3

distal-nitrogen 'dimethylamine' (piperidine-like cyclohexyl homologues of phenyltropanes)

Source:[3]


cf. Fencamfamine

Radiolabeled

Radiolabel Tropane:[45] Page 64. G.A. Whitlock et al. Table 1 Potential SRI PET and SPECT ligands.
LBT-999, a radio-ligand.
Code SERT Ki (nM) NET Ki (nM) DAT Ki (nM) Radiolabel In vivo study Refs.
1 0.2 102.2 29.9 11C Non-human primate [46]
2 0.2 31.7 32.6 11C Non-human primate [47]
3 0.05 24 3.47 123I Rat [48]
4 0.08 28 13 18F Non-human primate [49]
5 0.11 450 22 11C Rat, monkey [50]

Transition metal complexes

These compounds include transition metals in their heteroatomic conformation, unlike non-radiolabel intended chelates where their element is chosen for intrinsic affectation to binding and function, these are tagged on by a "tail" (or similar) with a sufficient spacer to remain separated from known binding properties and instead are meant to add radioactivity enough to be easily tracked via observation methods that utilize radioactivity. As for anomalies of binding within the spectrum of the under-written kinds just mentioned: other factors not otherwise considered to account for its relatively lower potency, "compound 89c" is posited to protrude forward at the aryl place on its moiety toward the MAT ligand acceptor site in a manner detrimental to its efficacy. That is considered due to the steric bulk of the eight-position "tail" chelate substituted constituent, overreaching the means by which it was intended to be isolated from binding factors upon a tail, and ultimately nonetheless, interfering with its ability to bind. However, to broach this discrepancy, decreasing of the nitrogen tether at the eight position by a single methylene unit (89d) was shown to bring the potency of the analogous compound to the expected, substantially higher, potency: The N-methyl analog of 89c having an IC50 of 1.09 ± 0.02 @ DAT & 2.47 ± 0.14 nM @ SERT; making 89c upwards of thirty-three times weaker at those MAT uptake sites.[k]

"Transition metal" chelated phenyltropanes[1]
Structure Compound #
(S. Singh)
X = para- / 4′-
Substitution
Configuration DAT (IC50 nM)
displacement of [H3]WIN 35428
5-HTT (IC50 nM)
[H3]Citalopram
Selectivity
5-HTT/DAT
WIN 35428 F - 11.0 ± 1.0 160 ± 20 14.5
+2β-chelated phenyltropanes
73
TRODAT-1ɑ
Cl - R=13.9, S=8.42b - -
74
TROTEC-1
F - high affinity site = 0.15 ± 0.04c
low affinity site = 20.3 ± 16.1c
- -
N-chelated phenyltropanes
89a F 5.99 ± 0.81 124 ± 17 20.7
89b F 2960 ± 157 5020 ± 1880 1.7
89c 3,4-Cl2 37.2 ± 3.4 264 ± 16 7.1
89d Cl - 0.31 ± 0.03d - -
  • ɑIUPAC: [2-[[2-[[[3-(4-chlorophenyl)-7-methyl-8-azabicyclo[3,2,1]oct-2-yl]methyl]-(2-mercaptoethyl)amino]ethyl]amino]ethanethiolato-(3—)-N2, N2′, S2, S2′]oxo-[1''R''-(''exo'', ''exo'')]-[99mTc]technetium
  • bR- & S- isomer values are Ki (nM) for displacement of [125I]IPT with technetium-99m replaced by rhenium
  • cIC50 (nM) values for displacement of [3H]WIN 35428 with ligand tricarbonyltechnetium replaced with rhenium. (IC50 for WIN 35428 were 2.62 ± 1.06 @ high affinity binding & 139 ± 72 @ low affinity binding sites)
  • dKi value for displacement of [125I]IPT radioligand.

Select annotations of above

Phenyltropanes can be grouped by "N substitution" "Stereochemistry" "2-substitution" & by the nature of the 3-phenyl group substituent X.
Often this has dramatic effects on selectivity, potency, and duration, also toxicity, since phenyltropanes are highly versatile. For more examples of interesting phenyltropanes, see some of the more recent patents, e.g. U.S. patent 6,329,520, U.S. patent 7,011,813, U.S. patent 6,531,483, and U.S. patent 7,291,737.

Potency in vitro should not be confused with the actual dosage, as pharmacokinetic factors can have a dramatic influence on what proportion of an administered dose actually gets to the target binding sites in the brain, and so a drug that is very potent at binding to the target may nevertheless have only moderate potency in vivo. For example, RTI-336 requires a higher dosage than cocaine. Accordingly, the active dosage of RTI-386 is exceedingly poor despite the relatively high ex vivo DAT binding affinity.

Sister substances

Many molecular drug structures have exceedingly similar pharmarcology to phenyltropanes, yet by certain technicalities do not fit the phenyltropane moniker. These are namely classes of dopaminergic cocaine analogues that are in the piperidine class (a category that includes methylphenidate) or benztropine class (such as Difluoropine: which is extremely close to fitting the criteria of being a phenyltropane.) Whereas other potent DRIs are far removed from being in the phenyltropane structural family, such as Benocyclidine or Vanoxerine.

Most any variant with a tropane locant—3-β (or α) connecting linkage differing from, e.g. longer than, a single methylene unit (i.e. "phenyl"), including alkylphenyls (see the styrene analog, first image given in example below) is more correctly a "cocaine analogue" proper, and not a phenyltropane. Especially if this linkage imparts a sodium channel blocker functionality to the molecule.

See also

References

Citations

  1. ^ a b c d e f g h i j k l m n o p q r s t u v w x y z aa ab ac ad ae af ag Singh, Satendra (2000). "Chem Inform Abstract: Chemistry, Design, and Structure-Activity Relationship of Cocaine Antagonists" (PDF). ChemInform. 31 (20): no. doi:10.1002/chin.200020238. Mirror hotlink.
  2. ^ U.S. Patent Application Publication # US 2008/0153870 A1 M. J. Kuhar, et al. Jun. 26, 2008. Research Triangle Institute.
  3. ^ a b c d e f g h i j U.S. patent 6,479,509
  4. ^ a b c Tamagnan, Gilles (2005). "Synthesis and monoamine transporter affinity of new 2β-carbomethoxy-3β-[4-(substituted thiophenyl)]phenyltropanes: discovery of a selective SERT antagonist with picomolar potency". Bioorganic & Medicinal Chemistry. 15 (4): 1131–1133. doi:10.1016/j.bmcl.2004.12.014. PMID 15686927.
  5. ^ Schmitt, K. C.; Rothman, R. B.; Reith, M. E. (Jul 2013). "Nonclassical Pharmacology of the Dopamine Transporter: Atypical Inhibitors, Allosteric Modulators, and Partial Substrates". J Pharmacol Exp Ther. 346 (1): 2–10 Fig. 1. doi:10.1124/jpet.111.191056. PMC 3684841. PMID 23568856.
  6. ^ U.S. patent 6,479,509 Method of promoting smoking cessation.
  7. ^ Blough, B. E.; Keverline, K. I.; Nie, Z.; Navarro, H.; Kuhar, M. J.; Carroll, F. I. (2002). "Synthesis and transporter binding properties of 3β-4′-(phenylalkyl, -phenylalkenyl, and -phenylalkynyl)phenyltropane-2β-carboxylic acid methyl esters: evidence of a remote phenyl binding domain on the dopamine transporter". Journal of Medicinal Chemistry. 45 (18): 4029–4037. doi:10.1021/jm020098n. PMID 12190324.
  8. ^ a b Blough, Bruce E.; Keverline, Kathryn I.; Nie, Zhe; Navarro, Hernán; Kuhar, Michael J.; Carroll, F. Ivy (2002). "Synthesis and Transporter Binding Properties of 3β-[4'-(Phenylalkyl, -phenylalkenyl, and -phenylalkynl)phenyl]tropane-2β-carboxylic Acid Methyl Esters: Evidence of a Remote Phenyl Binding Domain on the Dopamine Transporter". Journal of Medicinal Chemistry. 45 (18): 4029–37. doi:10.1021/jm020098n. PMID 12190324.
  9. ^ Blough; et al. (Sep 1996). "Synthesis and transporter binding properties of 3β-(4'-alkyl-, 4'-alkenyl-, and 4'-alkynylphenyl)nortropane-2 β-carboxylic acid methyl esters: serotonin transporter selective analogs". J Med Chem. 39 (20): 4027–35. doi:10.1021/jm960409s. PMID 8831768. S2CID 21616809.
  10. ^ a b Meltzer, P. C.; Liang, A. Y.; Brownell, A. L.; Elmaleh, D. R.; Madras, B. K. (1993). "Substituted 3-phenyltropane analogs of cocaine: Synthesis, inhibition of binding at cocaine recognition sites, and positron emission tomography imaging". Journal of Medicinal Chemistry. 36 (7): 855–62. doi:10.1021/jm00059a010. PMID 8464040.
  11. ^ a b Meltzer, P. C.; McPhee, M.; Madras, B. K. (2003). "Synthesis and biological activity of 2-Carbomethoxy-3-catechol-8-azabicyclo[3.2.1]octanes". Bioorganic & Medicinal Chemistry Letters. 13 (22): 4133–4137. doi:10.1016/j.bmcl.2003.07.014. PMID 14592523.
  12. ^ a b Jin, Chunyang; Navarro, Hernán A.; Ivy Carroll, F. (2009). "Synthesis and structure–activity relationship of 3β-(4-alkylthio, -methylsulfinyl, and -methylsulfonylphenyl)tropane and 3β-(4-alkylthiophenyl)nortropane derivatives for monoamine transporters". Bioorganic & Medicinal Chemistry. 17 (14): 5126–5132. doi:10.1016/j.bmc.2009.05.052. ISSN 0968-0896. PMC 2747657. PMID 19523837.
  13. ^ R. H. Kline, Davies, E. Saikali, T. Sexton & S.R. Childers (1993). "Novel 2-substituted cocaine analogs: Binding properties at dopamine transport sites in rat striatum". European Journal of Pharmacology. 244 (1): 93–97. doi:10.1016/0922-4106(93)90063-f. PMID 8420793.{{cite journal}}: CS1 maint: multiple names: authors list (link)
  14. ^ Jin, C; Navarro, H. A.; Carroll, F. I. (2008). "Development of 3-Phenyltropane Analogs with High Affinity for the Dopamine and Serotonin Transporters and Low Affinity for the Norepinephrine Transporter". Journal of Medicinal Chemistry. 51 (24): 8048–8056. doi:10.1021/jm801162z. PMC 2841478. PMID 19053748. Table 1.
  15. ^ Jin, C; Navarro, H. A.; Carroll, F. I. (2008). "Development of 3-Phenyltropane Analogs with High Affinity for the Dopamine and Serotonin Transporters and Low Affinity for the Norepinephrine Transporter". Journal of Medicinal Chemistry. 51 (24): 8048–8056. doi:10.1021/jm801162z. PMC 2841478. PMID 19053748. Table 2.
  16. ^ Zhong, Desong; Kotian, Pravin; Wyrick, Christopher D.; Seltzman, Herbert H.; Kepler, John A.; Kuhar, Michael J.; Boja, John W.; Carroll, F. Ivy (1999). "Synthesis of 3β-(4-[125I]iodophenyl)tropane-2-β-pyrrolidine carboxamide ([125I]RTI-229)". Journal of Labelled Compounds and Radiopharmaceuticals. 42 (3): 281–286. doi:10.1002/(SICI)1099-1344(199903)42:3<281::AID-JLCR188>3.0.CO;2-X.
  17. ^ Carroll, F. I.; Gray; Abraham; Kuzemko; Lewin; Boja; Kuhar (1993). "3-Aryl-2-(3′-substituted-1′,2′,4'-oxadiazol-5′-yl)tropane analogues of cocaine: affinities at the cocaine binding site at the dopamine, serotonin, and norepinephrine transporters". Journal of Medicinal Chemistry. 36 (20): 2886–2890. doi:10.1021/jm00072a007. PMID 8411004.
  18. ^ a b Methods for controlling invertebrate pests using cocaine receptor binding ligands. U.S. patent 5,935,953
  19. ^ Carroll, F.; Howard, J.; Howell, L.; Fox, B.; Kuhar, M. (2006). "Development of the dopamine transporter selective RTI-336 as a pharmacotherapy for cocaine abuse". The AAPS Journal. 8 (1): E196 – E203. doi:10.1208/aapsj080124. PMC 2751440. PMID 16584128.
  20. ^ Carroll, F.; Howard, J.; Howell, L.; Fox, B.; Kuhar, M. (2006). "Development of the dopamine transporter selective RTI-336 as a pharmacotherapy for cocaine abuse". The AAPS Journal. 8 (1): E196 – E203. doi:10.1208/aapsj080124. PMC 2751440. PMID 16584128.
  21. ^ Davies, Huw M.L; Ren, Pingda; Kong, Norman; Sexton, Tammy; Childers, Steven R (2001). "Synthesis and monoamine transporter affinity of 3β-(4-(2-pyrrolyl)phenyl)-8-azabicyclo[3.2.1]octanes and 3β-(5-Indolyl)-8-azabicyclo[3.2.1]octanes". Bioorganic & Medicinal Chemistry Letters. 11 (4): 487–489. doi:10.1016/S0960-894X(00)00701-0. ISSN 0960-894X. PMID 11229754.
  22. ^ Davies, H. M.; Gilliatt, V; Kuhn, L. A.; Saikali, E; Ren, P; Hammond, P. S.; Sexton, T; Childers, S. R. (2001). "Synthesis of 2β-Acyl-3β-(substituted naphthyl)-8-azabicyclo[3.2.1]octanes and Their Binding Affinities at Dopamine and Serotonin Transport Sites". Journal of Medicinal Chemistry. 44 (10): 1509–1515. doi:10.1021/jm000363+. PMID 11334561.
  23. ^ Carroll, F. I.; Gao; Abraham; Lewin; Lew; Patel; Boja; Kuhar (1992). "Probes for the cocaine receptor. Potentially irreversible ligands for the dopamine transporter". Journal of Medicinal Chemistry. 35 (10): 1813–1817. doi:10.1021/jm00088a017. PMID 1588560.
  24. ^ Wu; Reith, M.; Walker, Q.; Kuhn, C.; Carroll, F.; Garris, P. (2002). "Concurrent autoreceptor-mediated control of dopamine release and uptake during neurotransmission: an in vivo voltammetric study". Journal of Neuroscience. 22 (14): 6272–6281. doi:10.1523/JNEUROSCI.22-14-06272.2002. PMC 6757948. PMID 12122086.
  25. ^ Murthy, V; Martin, TJ; Kim, S; Davies, HM; Childers, SR (August 2008). "In vivo characterization of a novel phenylisothiocyanate tropane analog at monoamine transporters in rat brain". J. Pharmacol. Exp. Ther. 326 (2): 587–95. doi:10.1124/jpet.108.138842. PMID 18492949. S2CID 5996473.
  26. ^ Xu, L.; Kulkarni, S. S.; Izenwasser, S.; Katz, J. L.; Kopajtic, T.; Lomenzo, S. A.; Newman, A. H.; Trudell, M. L. (2004). "Synthesis and Monoamine Transporter Binding of 2-(Diarylmethoxymethyl)-3β-aryltropane Derivatives". Journal of Medicinal Chemistry. 47 (7): 1676–82. doi:10.1021/jm030430a. PMID 15027858.
  27. ^ Hong, W. C.; Kopajtic, T. A.; Xu, L.; Lomenzo, S. A.; Jean, B.; Madura, J. D.; Surratt, C. K.; Trudell, M. L.; Katz, J. L. (2016). "2-Substituted 3 -Aryltropane Cocaine Analogs Produce Atypical Effects without Inducing Inward-Facing Dopamine Transporter Conformations". Journal of Pharmacology and Experimental Therapeutics. 356 (3): 624–634. doi:10.1124/jpet.115.230722. ISSN 1521-0103. PMC 4767397. PMID 26769919. nih.gov article (inclu. structural depictions)
  28. ^ Cesati, RR 3rd; Tamagnan, G; Baldwin, RM; Zoghbi, SS; Innis, RB; Kula, NS; Baldessarini, RJ; Katzenellenbogen, JA (2002). "Synthesis of cyclopentadienyltricarbonyl rhenium phenyltropanes by double ligand transfer: organometallic ligands for the dopamine transporter". Bioconjug Chem. 13 (1): 29–39. doi:10.1021/bc010011x. PMID 11792176.{{cite journal}}: CS1 maint: numeric names: authors list (link)
  29. ^ Bloom, Jacob W. G.; Wheeler, Steven E. (2011). "Taking the Aromaticity out of Aromatic Interactions". Angew. Chem. 123 (34): 7993–7995. Bibcode:2011AngCh.123.7993B. doi:10.1002/ange.201102982.
  30. ^ A novel spirocyclic tropanyl-Δ2-isoxazoline derivative enhances citalopram and paroxetine binding to serotonin transporters as well as serotonin uptake. Bioorg Med Chem 2012 Nov 10;20(21):6344-55. Epub 2012 Sep 10.
  31. ^ Hanna, Mona M. (2007). "Synthesis of some tropane derivatives of anticipated activity on the reuptake of norepinephrine and/or serotonin". Bioorganic. 15 (24): 7765–7772. doi:10.1016/j.bmc.2007.08.055. PMID 17870537.
  32. ^ Goodman, Mark M. (2003). "Synthesis and Characterization of Iodine-123 Labeled 2β-Carbomethoxy-3β-(4′-((Z)-2-iodoethenyl)phenyl)nortropane. A Ligand for in Vivo Imaging of Serotonin Transporters by Single-Photon-Emission Tomography". Journal of Medicinal Chemistry. 46 (6): 925–935. doi:10.1021/jm0100180. PMID 12620070.
  33. ^ Blough, B.; Abraham, P.; Lewin, A.; Kuhar, M.; Boja, J.; Carroll, F. (1996). "Synthesis and transporter binding properties of 3β-(4′-alkyl-, 4′-alkenyl-, and 4′-alkynylphenyl)nortropane-2β-carboxylic acid methyl esters: serotonin transporter selective analogs". Journal of Medicinal Chemistry. 39 (20): 4027–4035. doi:10.1021/jm960409s. PMID 8831768. S2CID 21616809.
  34. ^ Spealman, R. D.; Kelleher, R. T. (Mar 1981). "Self-administration of cocaine derivatives by squirrel monkeys". The Journal of Pharmacology and Experimental Therapeutics. 216 (3): 532–536. ISSN 0022-3565. PMID 7205634.
  35. ^ Carroll, F.; Tyagi, S.; Blough, B.; Kuhar, M.; Navarro, H. (2005). "Synthesis and monoamine transporter binding properties of 3α-(substituted phenyl)nortropane-2β-carboxylic acid methyl esters. Norepinephrine transporter selective compounds". Journal of Medicinal Chemistry. 48 (11): 3852–3857. doi:10.1021/jm058164j. PMID 15916437.
  36. ^ Purushotham, M; Sheri, A; Pham-Huu, D. P.; Madras, B. K.; Janowsky, A; Meltzer, P. C. (2011). "The synthesis and biological evaluation of 2-(3-methyl or 3-phenylisoxazol-5-yl)-3-aryl-8-thiabicyclo3.2.1octanes". Bioorganic & Medicinal Chemistry Letters. 21 (1): 48–51. doi:10.1016/j.bmcl.2010.11.076. PMC 3015105. PMID 21146984.
  37. ^ a b Wu, Xiaoai; Cai, Huawei; Ge, Ran; Li, Lin; Jia, Zhiyun (2015). "Recent Progress of Imaging Agents for Parkinson's Disease". Current Neuropharmacology. 12 (6): 551–563. doi:10.2174/1570159X13666141204221238. ISSN 1570-159X. PMC 4428027. PMID 25977680.
  38. ^ U.S. patent 6,150,376
  39. ^ WO 0007994, Kozikowski, Alan P. & Smith, Miles P., "Novel bi- and tri-cyclic aza compounds and their uses", published 2000-02-17, assigned to Georgetown University 
  40. ^ Sakamuri, Sukumar; et al. (2000). "Synthesis of novel spirocyclic cocaine analogs using the Suzuki coupling". Tetrahedron Letters. 41 (13): 2055–2058. doi:10.1016/S0040-4039(00)00113-1.
  41. ^ exo-2-Phenyl-7-azabicyclo[2.2.1]heptane-1-carboxylic Acid: A New Constrained Proline Analogue. Source: Tetrahedron Letters, Volume 36, Number 39, 25 September 1995, pp. 7123-7126(4)
  42. ^ Kozikowski, A. P.; Araldi, G. L.; Boja, J.; Meil, W. M.; Johnson, K. M.; Flippen-Anderson, J. L.; George, C.; Saiah, E. (1998). "Chemistry and Pharmacology of the Piperidine-Based Analogues of Cocaine. Identification of Potent DAT Inhibitors Lacking the Tropane Skeleton". Journal of Medicinal Chemistry. 41 (11): 1962–9. CiteSeerX 10.1.1.512.7158. doi:10.1021/jm980028+. PMID 9599245.
  43. ^ NIH U.S. National Library of Medicine. PubChem CID: 44337825, InChI Key: MHDRABCQAWNSIK-PZORYLMUSA-N
  44. ^ Further SAR Studies of Piperidine-Based Analogues of Cocaine. 2. Potent Dopamine and Serotonin Reuptake Inhibitors J. Med. Chem. 2000,43,1215-1222
  45. ^ Napier, Susan; Bingham, Matilda (2009). Transporters as Targets for Drugs. Topics in Medicinal Chemistry. Vol. 4. Bibcode:2009ttd..book.....N. doi:10.1007/978-3-540-87912-1. ISBN 978-3-540-87911-4.
  46. ^ Stehouwer, Jeffrey S. (2006). "Synthesis, Radiosynthesis, and Biological Evaluation of Carbon-11 Labeled 2β-Carbomethoxy-3β-(3′-(( Z )-2-haloethenyl)phenyl)nortropanes: Candidate Radioligands for in Vivo Imaging of the Serotonin Transporter with Positron Emission Tomography". Journal of Medicinal Chemistry. 49 (23): 6760–6767. doi:10.1021/jm060641q. PMID 17154506.
  47. ^ Deskus, Jeffrey A. (2007). "Conformationally restricted homotryptamines 3. Indole tetrahydropyridines and cyclohexenylamines as selective serotonin reuptake inhibitors". Bioorganic & Medicinal Chemistry. 17 (11): 3099–3104. doi:10.1016/j.bmcl.2007.03.040. PMID 17391962.
  48. ^ Schmitz, William D. (2005). "Homotryptamines as potent and selective serotonin reuptake inhibitors (SSRIs)". Bioorganic & Medicinal Chemistry. 15 (6): 1619–1621. doi:10.1016/j.bmcl.2005.01.059. PMID 15745809.
  49. ^ Plisson, Christophe (2007). "Synthesis and in Vivo Evaluation of Fluorine-18 and Iodine-123 Labeled 2β-Carbo(2-fluoroethoxy)-3β-(4′-(( Z )-2-iodoethenyl)phenyl)nortropane as a Candidate Serotonin Transporter Imaging Agent". Journal of Medicinal Chemistry. 50 (19): 4553–4560. doi:10.1021/jm061303s. PMID 17705359.
  50. ^ McMahon, C. G.; McMahon, C. N.; Leow, L. J. (2006). "New agents in the treatment of premature ejaculation". Neuropsychiatric Disease and Treatment. 2 (4): 489–503. doi:10.2147/nedt.2006.2.4.489. PMC 2671940. PMID 19412497.
  51. ^ Leung, K (2004). "N-4-Fluorobut-2-yn-1-yl-2β-carbo-[11C]methoxy-3β-phenyltropane". PMID 22073420. {{cite journal}}: Cite journal requires |journal= (help)
  52. ^ Stenzinger, W; Blömker, A; Hiddemann, W; de Loo, J (1990). "Treatment of refractory multiple myeloma with the vincristine-adriamycin-dexamethasone (VAD) regimen". Blut. 61 (2–3): 55–9. doi:10.1007/bf02076700. PMID 2207342. S2CID 25860357.
  53. ^ Ma, S; Cheng, MH; Guthrie, DA; Newman, AH; Bahar, I; Sorkin, A (2017). "Targeting of dopamine transporter to filopodia requires an outward-facing conformation of the transporter". Sci Rep. 7 (1): 5399. Bibcode:2017NatSR...7.5399M. doi:10.1038/s41598-017-05637-x. PMC 5511133. PMID 28710426.

Im-pact indices (exact locations within sources cited) & foot-notations

  1. ^ [1]Page #929 (5th page of article) § II
  2. ^ Many of the RTI phenyltropanes are "RTI-4229-×××" where × is the specific phenyltropane code number.

    e.g. RTI-55 is in-fact RTI-4229-55 but given below as simply RTI-55 for the sake of simplicity in shorthand (following as is done in the literature itself) as the subject matter in context is wholly within the scope of the phenyltropane coded category herein. Sometimes (more rarely) it is given as RTI-COC-××× for "cocaine derivative."

    Worth mentioning in notation as to explain that other compounds entirely unrelated can be found with the same "RTI-×××" short-numbered assignation. Therefore it is to be expected that within different contexts a compound or chemical of the same name very possibly could be in reference to an entirely other substance of another chemical series non-analogous to those in this topic.
  3. ^ [1]Page #970 (46th page of article) §B, 10th line
  4. ^ [1]Page #971 (47th page of article) 1st ¶, 10th line
  5. ^ Beta (i.e. 2,3 Rectus)-Carbmethoxy-Phenyl-Tropane
  6. ^ Beta (i.e. 2,3 Rectus)-Carbmethoxy-Fluorophenyl-Tropane
  7. ^ [1]Page #940 (16th page of article) underneath Table 8., above § 4
  8. ^ [1]Page #941 (17th page of article) Figure 10
  9. ^ [1]Page #967 (43rd page of article) 2nd column
  10. ^ [1]Page #967 (43rd page of article) 2nd column
  11. ^ [1]Page #955 (31st page of article) 1st (left) column, 2nd ¶