Tybamate
![]() | |
| Clinical data | |
|---|---|
| ATC code |
|
| Identifiers | |
| |
| CAS Number | |
| PubChem CID | |
| ChemSpider | |
| UNII | |
| KEGG | |
| CompTox Dashboard (EPA) | |
| ECHA InfoCard | 100.022.050 |
| Chemical and physical data | |
| Formula | C13H26N2O4 |
| Molar mass | 274.361 g·mol−1 |
| 3D model (JSmol) | |
| |
| |
Tybamate (INN; Solacen, Tybatran, Effisax) is an anxiolytic of the carbamate family.[1] It is a prodrug for meprobamate in the same way as the better known drug carisoprodol. It has liver enzyme inducing effects similar to those of phenobarbital but much weaker.[2]
As the trade name Tybatran (Robins), it was formerly available in capsules of 125, 250, and 350 mg, taken 3 or 4 times a day for a total daily dosage of 750 mg to 2 g. The plasma half-life of the drug is three hours. At high doses in combination with phenothiazines, it could produce convulsions.[3]
Synthesis
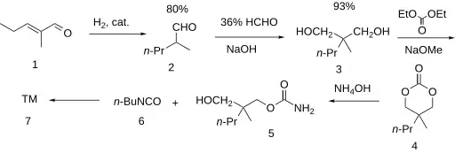
Catalytic hydrogenation of 2-methyl-2-pentenal (1) gives the aldehyde 2-methylpentanal (2). Treatment with formaldehyde gives a crossed Cannizzaro reaction yielding 2,2-bis(hydroxymethyl)pentane (3). Cyclisation of this diol with diethyl carbonate gives (4), which reacts with ammonia to provide the carbamate (5). Lastly, treatment with butyl isocyanate (6) produces tybamate.[4][5][6]
References
- ^ Index Nominum 2000: International Drug Directory. Taylor & Francis. January 2000. p. 1077. ISBN 978-3-88763-075-1.
- ^ Segelman FH, Kelton E, Terzi RM, Kucharczyk N, Sofia RD (June 1985). "The comparative potency of phenobarbital and five 1,3-propanediol dicarbamates for hepatic cytochrome P450 induction in rats". Research Communications in Chemical Pathology and Pharmacology. 48 (3): 467–70. PMID 4023427.
- ^ American Medical Association Dept of Drugs (1977). AMA Drug Evaluations (3rd ed.). Littleton, Mass.: Pub. Sciences Group. p. 406. ISBN 978-0-88416-175-2. OCLC 1024170745.
- ^ Ludwig BJ, Piech EC (1951). "Some Anticonvulsant Agents Derived from 1,3-Propanediols". Journal of the American Chemical Society. 73 (12): 5779–5781. Bibcode:1951JAChS..73.5779L. doi:10.1021/ja01156a086.
- ^ Reisberg P, Kress J, Bodin JI (1975). Tybamate. Analytical Profiles of Drug Substances. Vol. 4. pp. 494–515. doi:10.1016/S0099-5428(08)60025-8. ISBN 978-0-12-260804-9.
- ^ "Tybamate". Pharmaceutical Substances. Thieme. Retrieved 2024-07-08.

